首页
学习
活动
专区
圈层
工具
发布
首页
学习
活动
专区
圈层
工具
MCP广场
社区首页 >问答首页 >我使用的是R函数对(),我想对一个特定的列创建散点图

我使用的是R函数对(),我想对一个特定的列创建散点图
EN

Stack Overflow用户
提问于 2017-05-01 10:08:02
回答 1查看 130关注 0票数 1

我使用这些代码行在数据列air的所有组合之间生成散点图。是否有任何方法可以选择列与特定列的所有组合?例如,如果我们有5列,我只想要3d列的散点图,比如: 1-3,2-3,4-3,5-3。不是所有的组合。

代码语言:javascript
运行
复制
pairs(air, labels = colnames(air), main = "Pairs matrix", pch = 21, 
bg = c("red", "green3", "blue", "yellow"),
upper.panel = NULL)
EN

回答 1

Stack Overflow用户

回答已采纳

发布于 2017-05-01 10:24:02

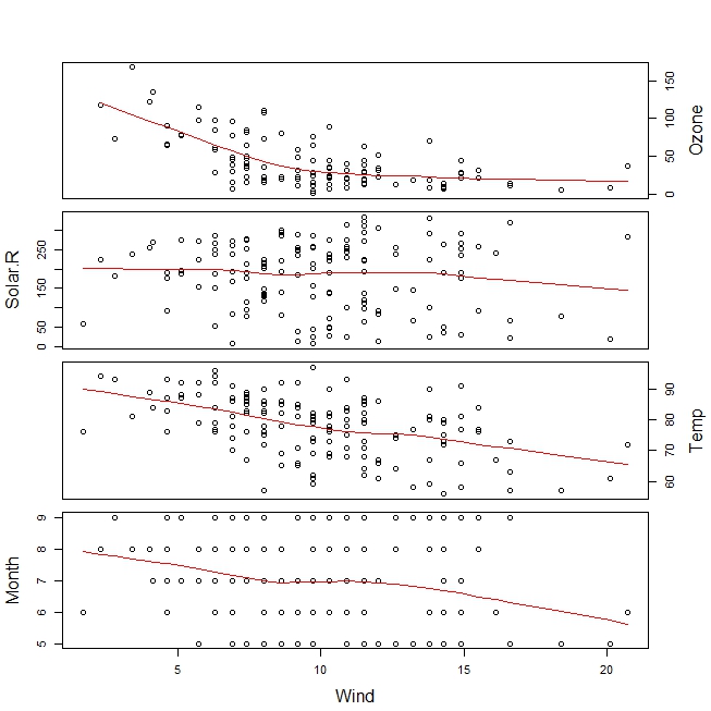
您可以使用来自pairs2()包的TeachingDemos函数。例如:

代码语言:javascript
运行
复制
library(TeachingDemos)
pairs2( airquality[3], airquality[,c(1,2,4,5) ], panel=panel.smooth)

票数 1
EN
页面原文内容由Stack Overflow提供。腾讯云小微IT领域专用引擎提供翻译支持
原文链接:

https://stackoverflow.com/questions/43717421

复制
相关文章

相似问题

领券
问题归档专栏文章快讯文章归档关键词归档开发者手册归档开发者手册 Section 归档