首页
学习
活动
专区
圈层
工具
发布
首页
学习
活动
专区
圈层
工具
MCP广场
社区首页 >问答首页 >图论Cutwidth

图论Cutwidth
EN

Stack Overflow用户
提问于 2017-12-25 18:53:37
回答 1查看 139关注 0票数 0

有人能向我解释什么是区间图的角部,并给我举一个例子吗?

我找到了这个定义,但我不明白:

图G的截线等于图的顶点排序的最小代价。

EN

回答 1

Stack Overflow用户

回答已采纳

发布于 2017-12-25 21:57:39

您的定义有点不完整:您还应该包括与图的排序相关的成本的定义。在您可能要引用的定义中,此成本定义如下:

对于任何节点集S,相应的代价c'(S)是由S中的任何节点到S之外的任何节点的边数所给出的。

由此,排序v_1, ..., v_n的成本被定义为所有子集v_1, ..., v_i的最大成本,其中i = 1, ..., n - 1

根据前面的定义,这意味着从低阶节点到高阶节点的最大边数,您可以任意地在低阶和高阶之间选择“裁剪”。

然后是节点最优排序的代价(即成本最小的节点排序)。

当我们将此应用于区间图时,这意味着一个图的节点是区间,其边表示这些区间之间的交点,子集的代价c'( S )是S以外区间与S内间隔之间的交叉点数。

由此,你可以看到,区间图的顶点是区间最优排序的代价,这样高阶区间与低阶区间相交的次数最少。

不幸的是,对于给定的区间图,我不能给出一个精确的计算规则,但是我将给出一个小的例子:

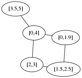
取间隔0,4,0,1,2,3,1.5,2.5,3.5,5,给出如下图表:

无论您如何排序间隔,如果您选择了4个周期中的两个区间(0、4、0、1.9、1.5、2.5、2、3),则循环中的其他两个区间将至少有两个与前两个区间的交叉点,这意味着至少为2

同时,排序0,1.9,1.5,2.5,2,3,0,4,3.5,5给出了2,2,2,1对于i = 1,2,3,4的削减成本,所以这个图的顶点最多是2。

结合这些结果,你可以看到图的角速度是2。

也许可以把这类上界和下界推广到所有区间图,但我现在还不能给出这个问题的完整解。

票数 1
EN
页面原文内容由Stack Overflow提供。腾讯云小微IT领域专用引擎提供翻译支持
原文链接:

https://stackoverflow.com/questions/47971238

复制
相关文章

相似问题

领券
问题归档专栏文章快讯文章归档关键词归档开发者手册归档开发者手册 Section 归档