首页
学习
活动
专区
圈层
工具
发布
首页
学习
活动
专区
圈层
工具
MCP广场
社区首页 >问答首页 >用新浪图样显示多个因素

用新浪图样显示多个因素
EN

Stack Overflow用户
提问于 2018-05-18 11:14:13
回答 1查看 753关注 0票数 5

注意:,在与Z. Lin讨论之后,更新了这篇文章。最初,我将问题简化为两个因素的设计(参见“原始问题”一节)。然而,我的实际数据由四个因素组成,需要facet_grid。因此,我为下面的四因素设计提供了一个示例(请参阅“编辑”一节)。

原始问题

假设我有一个双因子设计,其中dv是我的因变量,iv.x和iv.y是我的因子/自变量。一些快速样本数据:

代码语言:javascript
运行
复制
DF <- data.frame(dv = rnorm(900), 
                 iv.x = sort(rep(letters[1:3], 300)), 
                 iv.y = rep(sort(rep(rev(letters)[1:3], 100)), 3))

我的目标是将每一种情况分别显示出来,就像小提琴的情节一样:

代码语言:javascript
运行
复制
ggplot(DF, aes(iv.x, dv, colour=iv.y)) + geom_violin()  

我最近遇到了新浪的阴谋,我也想在这里做同样的事情。不幸的是,新浪的阴谋并没有做到这一点,而是崩溃了数据。

代码语言:javascript
运行
复制
ggplot(DF, aes(iv.x, dv, colour=iv.y)) + geom_sina()

显式调用位置躲避也于事无补,因为这会产生错误消息:

代码语言:javascript
运行
复制
ggplot(DF, aes(iv.x, dv, colour=iv.y)) + geom_sina(position = position_dodge(width = 0.5))

新浪网的作者们已经在2016年意识到了这个问题:https://github.com/thomasp85/ggforce/issues/47

我的问题更多的是时间问题。我们很快就想提交一份手稿,而新浪的情节将是显示我们数据的一个很好的方式。有人能想出一个解决方案来解决新浪的情节,我仍然可以显示两个因素,如上面的小提琴情节的例子吗?

编辑

四因素设计的样本数据:

代码语言:javascript
运行
复制
    DF <- data.frame(dv=rnorm(400), 
             iv.w=sort(rep(letters[1:2],200)),
             iv.x=rep(sort(rep(letters[3:4],100)), 2),
             iv.y=rep(sort(rep(rev(letters)[1:2],50)),4),
             iv.z=rep(sort(rep(letters[5:6],25)),8))

以小提琴为例,我想用新浪的情节来创作:

代码语言:javascript
运行
复制
    ggplot(DF, aes(iv.x, dv, colour=iv.y)) + 
      facet_grid(iv.w ~ iv.z) +
      geom_violin(aes(y = dv, fill = iv.y), 
          position = position_dodge(width = 1))+
      stat_summary(aes(y = dv, fill = iv.y), fun.y=mean, geom="point", 
          colour="black", show.legend = FALSE, size=.2, 
          position=position_dodge(width=1))+
      stat_summary(aes(y = dv, fill = iv.y), fun.data=mean_cl_normal, geom="errorbar", 
          position=position_dodge(width=1), width=.2, show.legend = FALSE,
          colour="black", size=.2) 
EN

回答 1

Stack Overflow用户

发布于 2018-05-18 11:30:19

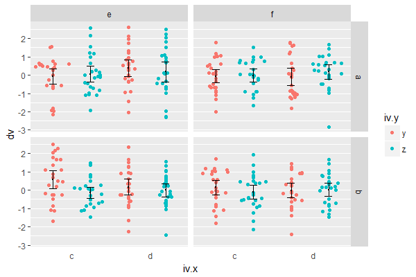
编辑的解决方案,因为OP澄清了需要方面:

代码语言:javascript
运行
复制
ggplot(DF, aes(x = interaction(iv.y, iv.x), 
               y = dv, fill = iv.y, colour = iv.y)) + 
  facet_grid(iv.w ~ iv.z) +      
  geom_sina() +
  stat_summary(fun.y=mean, geom="point", 
               colour="black", show.legend = FALSE, size=.2, 
               position=position_dodge(width=1))+
  stat_summary(fun.data=mean_cl_normal, geom="errorbar", 
               position=position_dodge(width=1), width=.2, 
               show.legend = FALSE,
               colour="black", size=.2) +
  scale_x_discrete(name = "iv.x", 
                   labels = c("c", "", "d", "")) +
  theme(panel.grid.major.x = element_blank(),
        axis.text.x = element_text(hjust = -4),
        axis.ticks.x = element_blank())

这种方法没有使用面来模拟颜色之间的闪避,而是创建了一个新的变量interaction(colour.variable, x.variable)来映射到x轴。

scale_x_discrete() & theme()中的其余代码用于隐藏默认的x轴标签/滴答/网格行。

axis.text.x = element_text(hjust = -4)是一种将x轴标签移动到(近似于)正确位置的黑客.它是丑陋的,但考虑到用例是一个手稿提交,我认为大小的情节将是固定的,你只需要调整它一次。

原始解

假设您的情节不需要面设置,则可以使用facet模拟外观:

代码语言:javascript
运行
复制
ggplot(DF, aes(x = iv.y, y = dv, colour = iv.y)) +
  geom_sina() + 
  facet_grid(~iv.x, switch = "x") +
  labs(x = "iv.x") +
  theme(axis.text.x = element_blank(),      # hide iv.y labels
        axis.ticks.x = element_blank(),     # hide iv.y ticks
        strip.background = element_blank(), # make facet strip background transparent
        panel.spacing.x = unit(0, "mm"))    # remove horizontal space between facets

票数 3
EN
页面原文内容由Stack Overflow提供。腾讯云小微IT领域专用引擎提供翻译支持
原文链接:

https://stackoverflow.com/questions/50410085

复制
相关文章

相似问题

领券
问题归档专栏文章快讯文章归档关键词归档开发者手册归档开发者手册 Section 归档