
921. 使括号有效的最少添加 难度:medium
只有满足下面几点之一,括号字符串才是有效的:
AB (A 与 B 连接), 其中 A 和 B 都是有效字符串,或者(A),其中 A 是有效字符串。给定一个括号字符串 s ,移动N次,你就可以在字符串的任何位置插入一个括号。
s = "()))" ,你可以插入一个开始括号为 "(()))" 或结束括号为 "())))" 。返回 为使结果字符串 s 有效而必须添加的最少括号数。
示例 1:
输入: s = "())"
输出: 1示例 2:
输入: s = "((("
输出: 3提示:
1 <= s.length <= 1000s 只包含 '(' 和 ')' 字符。根据题意,这题自然而然的优先使用「贪心」算法,刚好可以巩固一下昨天所学的 【算法题解】 Day5 贪心;
每个左括号必须对应一个右括号,而且左括号必须在对应的右括号之前。
对于括号匹配的题目,常用的做法是使用栈进行匹配,栈具有后进先出的特点,因此可以保证右括号和最近的左括号进行匹配。其实,这道题可以使用计数代替栈,进行匹配时每次都取距离当前位置最近的括号,就可以确保平衡。
从左到右遍历字符串,在遍历过程中维护左括号的个数以及添加次数。
如果遇到左括号,则将左括号的个数加 1。
如果遇到右括号,则需要和前面的左括号进行匹配,具体做法如下:
遍历结束后,需要检查左括号的个数是否为 0。如果不为 0,则说明还有剩下的左括号没有匹配,对于每个剩下的左括号都需要添加一个右括号才能匹配,此时需要添加的右括号个数为剩下的左括号个数,将需要添加的右括号个数加到添加次数。
无论是哪种添加的情况,都是在遇到括号无法进行匹配的情况下才进行添加,因此上述做法得到的添加次数是最少的。
Python:
class Solution:
def minAddToMakeValid(self, s: str) -> int:
ans = cnt = 0
for c in s:
if c == '(':
cnt += 1
elif cnt > 0:
cnt -= 1
else:
ans += 1
return ans + cntJava:
class Solution {
public int minAddToMakeValid(String s) {
int ans = 0;
int leftCount = 0;
int length = s.length();
for (int i = 0; i < length; i++) {
char c = s.charAt(i);
if (c == '(') {
leftCount++;
} else {
if (leftCount > 0) {
leftCount--;
} else {
ans++;
}
}
}
ans += leftCount;
return ans;
}
}589. N 叉树的前序遍历 难度:easy
给定一个 n 叉树的根节点 root ,返回 其节点值的 前序遍历 。
n 叉树 在输入中按层序遍历进行序列化表示,每组子节点由空值 null 分隔(请参见示例)。
示例 1:

输入: root = [1,null,3,2,4,null,5,6]
输出: [1,3,5,6,2,4]示例 2:
输入: root = [1]
输出: [[1]]示例 3:
输入: root = []
输出: []递归思路比较简单,每次递归时,先访问根节点,然后依次递归访问每个孩子节点即可。
Python:
class Solution:
def preorder(self, root: 'Node') -> List[int]:
ans = []
def dfs(node: 'Node'):
if node is None:
return
ans.append(node.val)
for ch in node.children:
dfs(ch)
dfs(root)
return ansJava:
class Solution {
public List<Integer> preorder(Node root) {
List<Integer> res = new ArrayList<>();
helper(root, res);
return res;
}
public void helper(Node root, List<Integer> res) {
if (root == null) {
return;
}
res.add(root.val);
for (Node ch : root.children) {
helper(ch, res);
}
}
}方法一中利用递归来遍历树,实际的递归中隐式调用了栈,在此我们可以直接模拟递归中栈的调用。在前序遍历中,我们会先遍历节点本身,然后从左向右依次先序遍历该每个以子节点为根的子树。
Python:
class Solution:
def preorder(self, root: 'Node') -> List[int]:
if root is None:
return []
ans = []
st = [root]
while st:
node = st.pop()
ans.append(node.val)
st.extend(reversed(node.children))
return ansJava:
class Solution {
public List<Integer> preorder(Node root) {
List<Integer> res = new ArrayList<>();
if (root == null) {
return res;
}
Deque<Node> stack = new ArrayDeque<Node>();
stack.push(root);
while (!stack.isEmpty()) {
Node node = stack.pop();
res.add(node.val);
for (int i = node.children.size() - 1; i >= 0; --i) {
stack.push(node.children.get(i));
}
}
return res;
}
}102. 二叉树的层序遍历 难度:medium
给你二叉树的根节点 root ,返回其节点值的 层序遍历 。 (即逐层地,从左到右访问所有节点)。
示例 1:

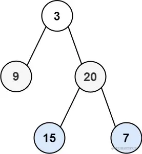
输入: root = [3,9,20,null,null,15,7]
输出: [[3],[9,20],[15,7]]示例 2:
输入: root = [1]
输出: [[1]]示例 3:
输入: root = []
输出: []提示:
[0, 2000] 内-1000 <= Node.val <= 1000我们可以用广度优先搜索解决这个问题。
上述属于优化的广度优先搜索,它和普通广度优先搜索的区别在于,普通广度优先搜索每次只取一个元素拓展,而这里每次取 si 个元素。在上述过程中的第 i 次迭代就得到了二叉树的第 i 层的 si 个元素。
为什么这么做是对的呢?我们观察这个算法,可以归纳出这样的循环不变式:第 i 次迭代前,队列中的所有元素就是第 i 层的所有元素,并且按照从左向右的顺序排列。证明它的三条性质(你也可以把它理解成数学归纳法):
root,是唯一的层数为 1 的元素,因为只有一个元素,所以也显然满足「从左向右排列」;


Python:
class Solution(object):
def levelOrder(self, root):
"""
:type root: TreeNode
:rtype: List[List[int]]
"""
if not root:
return []
res = []
queue = [root]
while queue:
# 获取当前队列的长度,这个长度相当于 当前这一层的节点个数
size = len(queue)
tmp = []
# 将队列中的元素都拿出来(也就是获取这一层的节点),放到临时list中
# 如果节点的左/右子树不为空,也放入队列中
for _ in xrange(size):
r = queue.pop(0)
tmp.append(r.val)
if r.left:
queue.append(r.left)
if r.right:
queue.append(r.right)
# 将临时list加入最终返回结果中
res.append(tmp)
return resJava:
class Solution {
public List<List<Integer>> levelOrder(TreeNode root) {
List<List<Integer>> ret = new ArrayList<List<Integer>>();
if (root == null) {
return ret;
}
Queue<TreeNode> queue = new LinkedList<TreeNode>();
queue.offer(root);
while (!queue.isEmpty()) {
List<Integer> level = new ArrayList<Integer>();
int currentLevelSize = queue.size();
for (int i = 1; i <= currentLevelSize; ++i) {
TreeNode node = queue.poll();
level.add(node.val);
if (node.left != null) {
queue.offer(node.left);
}
if (node.right != null) {
queue.offer(node.right);
}
}
ret.add(level);
}
return ret;
}
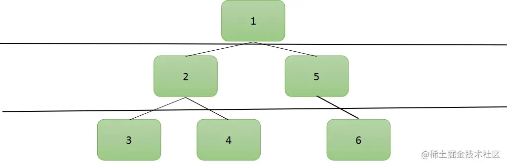
}用广度优先处理是很直观的,可以想象成是一把刀横着切割了每一层,但是深度优先遍历就不那么直观了。

我们开下脑洞,把这个二叉树的样子调整一下,摆成一个田字形的样子。田字形的每一层就对应一个 list。

按照深度优先的处理顺序,会先访问节点 1,再访问节点 2,接着是节点 3。之后是第二列的 4 和 5,最后是第三列的 6。
每次递归的时候都需要带一个 index(表示当前的层数),也就对应那个田字格子中的第几行,如果当前行对应的 list 不存在,就加入一个空 list 进去。
动态演示如下:

Python:
class Solution(object):
def levelOrder(self, root):
"""
:type root: TreeNode
:rtype: List[List[int]]
"""
if not root:
return []
res = []
def dfs(index,r):
# 假设 res 是[ [1],[2,3] ], index 是3,就再插入一个空 list 放到 res 中
if len(res)<index:
res.append([])
# 将当前节点的值加入到 res 中,index 代表当前层,假设 index 是3,节点值是99
# res 是[ [1],[2,3] [4] ],加入后 res 就变为 [ [1],[2,3] [4,99] ]
res[index-1].append(r.val)
# 递归的处理左子树,右子树,同时将层数index+1
if r.left:
dfs(index+1,r.left)
if r.right:
dfs(index+1,r.right)
dfs(1,root)
return resJava:
class Solution {
public List<List<Integer>> levelOrder(TreeNode root) {
if(root==null) {
return new ArrayList<List<Integer>>();
}
// 用来存放最终结果
List<List<Integer>> res = new ArrayList<List<Integer>>();
dfs(1,root,res);
return res;
}
void dfs(int index,TreeNode root, List<List<Integer>> res) {
// 假设 res 是[ [1],[2,3] ], index 是3,就再插入一个空 list 放到 res 中
if(res.size()<index) {
res.add(new ArrayList<Integer>());
}
// 将当前节点的值加入到 res 中,index 代表当前层,假设 index 是3,节点值是99
// res 是[ [1],[2,3] [4] ],加入后 res 就变为 [ [1],[2,3] [4,99] ]
res.get(index-1).add(root.val);
// 递归的处理左子树,右子树,同时将层 index+1
if(root.left!=null) {
dfs(index+1, root.left, res);
}
if(root.right!=null) {
dfs(index+1, root.right, res);
}
}
}