🎈个人主页:🎈 :✨✨✨初阶牛✨✨✨ 🐻推荐专栏1: 🍔🍟🌯C语言初阶 🐻推荐专栏2: 🍔🍟🌯C语言进阶 🔑个人信条: 🌵知行合一 金句分享: ✨生活本就沉默,但是跑起来有风!✨
本文用于记录力扣有关链表的oj题,环形链表l和环形链表II. 主要采用快慢指针的方法.
声明:题目来源于 力扣
题目链接:传送门
题目介绍:
给你一个链表的头节点 head ,判断链表中是否有环。
如果链表中有某个节点,可以通过连续跟踪 next 指针再次到达,则链表中存在环。 为了表示给定链表中的环,评测系统内部使用整数 pos 来表示链表尾连接到链表中的位置(索引从 0 开始)。注意:pos 不作为参数进行传递 。仅仅是为了标识链表的实际情况。
如果链表中存在环 ,则返回 true 。 否则,返回 false 。
示例1:

示例1:
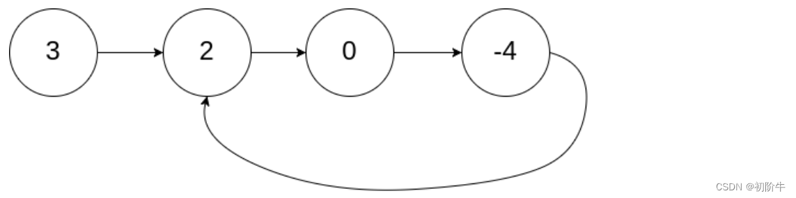
输入:head = [3,2,0,-4], pos = 1 输出:true 解释:链表中有一个环,其尾部连接到第二个节点。
示例2:

输入:head = [1,2], pos = 0 输出:true 解释:链表中有一个环,其尾部连接到第一个节点。
NULL.
bool hasCycle(struct ListNode *head) {
struct ListNode *fast=head;
struct ListNode *slow=head;
while(fast&&fast->next)
{
//快指针一次走两步,慢指针一次走一步,每次快指针能追上慢指针一个位置
fast=(fast->next)->next;
slow=slow->next;
//如果有环就一定能追上
if(fast==slow)
{
return true;
}
}
return false;
}提交结果:

声明:题目来源于 力扣
题目链接:传送门
题目介绍:
给定一个链表的头节点 head ,返回链表开始入环的第一个节点。 如果链表无环,则返回 null。
如果链表中有某个节点,可以通过连续跟踪 next 指针再次到达,则链表中存在环。 为了表示给定链表中的环,评测系统内部使用整数 pos 来表示链表尾连接到链表中的位置(索引从 0 开始)。如果 pos 是 -1,则在该链表中没有环。注意:pos 不作为参数进行传递,仅仅是为了标识链表的实际情况。
不允许修改 链表。
示例1:

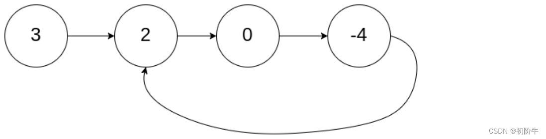
输入:head = [3,2,0,-4], pos = 1 输出:返回索引为 1 的链表节点 解释:链表中有一个环,其尾部连接到第二个节点。
示例2:

输入:head = [1,2], pos = 0 输出:返回索引为 0 的链表节点 解释:链表中有一个环,其尾部连接到第一个节点。
示例3:

输入:head = [1], pos = -1 输出:返回 null 解释:链表中没有环。
meet指针从相遇点开始走,head指针从初始点开始走,相遇时,就是环的入口点(原理如下图).
struct ListNode *detectCycle(struct ListNode *head) {
struct ListNode *fast=head;//定义快指针
struct ListNode *slow=head;//定义慢指针
while(fast&&fast->next)
{
fast=fast->next->next;
slow=slow->next;
if(fast==slow)//如果存在环,则一定相遇,此时相遇了,
{
struct ListNode *meet=slow;//记录相遇点
while(head!=meet)//一个指针从相遇点出发,一个指针从开头出发,他们一定会在人口点相遇.
{
head=head->next;
meet=meet->next;
}
return meet;返回第二次相遇的结点,此处便是入口点
}
}
return NULL;//没有环
}提交结果:
