我们希望根据图片动物的轮廓、颜色等特征,来预测动物的类别,有三种可预测类别:猫、狗、猪。假设我们当前有两个模型(参数不同),这两个模型都是通过sigmoid/softmax的方式得到对于每个预测结果的概率值:
模型1:
预测 | 真实 | 是否正确 |
|---|---|---|
0.3 0.3 0.4 | 0 0 1 (猪) | 正确 |
0.3 0.4 0.3 | 0 1 0 (狗) | 正确 |
0.1 0.2 0.7 | 1 0 0 (猫) | 错误 |
模型1对于样本1和样本2以非常微弱的优势判断正确,对于样本3的判断则彻底错误。
模型2:
预测 | 真实 | 是否正确 |
|---|---|---|
0.1 0.2 0.7 | 0 0 1 (猪) | 正确 |
0.1 0.7 0.2 | 0 1 0 (狗) | 正确 |
0.3 0.4 0.3 | 1 0 0 (猫) | 错误 |
模型2对于样本1和样本2判断非常准确,对于样本3判断错误,但是相对来说没有错得太离谱。
好了,有了模型之后,我们需要通过定义损失函数来判断模型在样本上的表现了,那么我们可以定义哪些损失函数呢?
最为直接的损失函数定义为:

模型1:

模型2:

我们知道,模型1和模型2虽然都是预测错了1个,但是相对来说模型2表现得更好,损失函数值照理来说应该更小,但是,很遗憾的是,classification error 并不能判断出来,所以这种损失函数虽然好理解,但表现不太好。
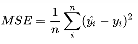
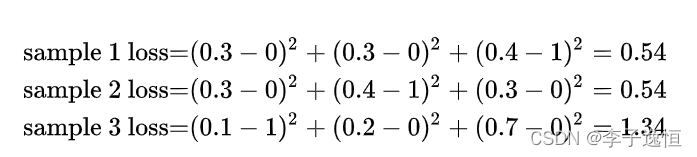
均方误差损失也是一种比较常见的损失函数,其定义为:

模型1:

对所有样本的loss求平均:

模型2:

对所有样本的loss求平均:

我们发现,MSE能够判断出来模型2优于模型1,那为什么不采样这种损失函数呢?主要原因是在分类问题中,使用sigmoid/softmx得到概率,配合MSE损失函数时,采用梯度下降法进行学习时,会出现模型一开始训练时,学习速率非常慢的情况(MSE损失函数)。
有了上面的直观分析,我们可以清楚的看到,对于分类问题的损失函数来说,分类错误率和均方误差损失都不是很好的损失函数,下面我们来看一下交叉熵损失函数的表现情况。
现在我们利用这个表达式计算上面例子中的损失函数值:
模型1:

对所有样本的loss求平均:

模型2:

对所有样本的loss求平均:

可以发现,交叉熵损失函数可以捕捉到模型1和模型2预测效果的差异。