首页
学习
活动
专区
圈层
工具
发布
首页
学习
活动
专区
圈层
工具
MCP广场
社区首页 >专栏 >链表算法中常用操作和技巧

链表算法中常用操作和技巧

作者头像
猫咪-9527
发布2025-04-07 08:54:38
发布2025-04-07 08:54:38
12300
代码可运行
举报
文章被收录于专栏:猫咪-9527猫咪-9527
运行总次数:0
代码可运行

1.常用技巧

1.1.画图

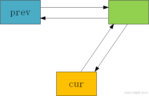
画图可以让一些抽象的文字语言更加形象生动

画图!!!->直观+形象+便于我们理解

例如:

现在有一个结构体

代码语言:javascript
代码运行次数:0
运行
复制
struct s
{
    struct s*pprev;
    struct s*pnext;
}

他们的的关系如下:

代码语言:javascript
代码运行次数:0
运行
复制
prev->pnext->pnext=cur;
cur->pprev->prev=prev;
cur->pnext=prev;
prev->pprev=cur;

是不是感觉无从下手,但是我们只要转化为图形就能很好的理解:

1.2.添加虚拟头节点

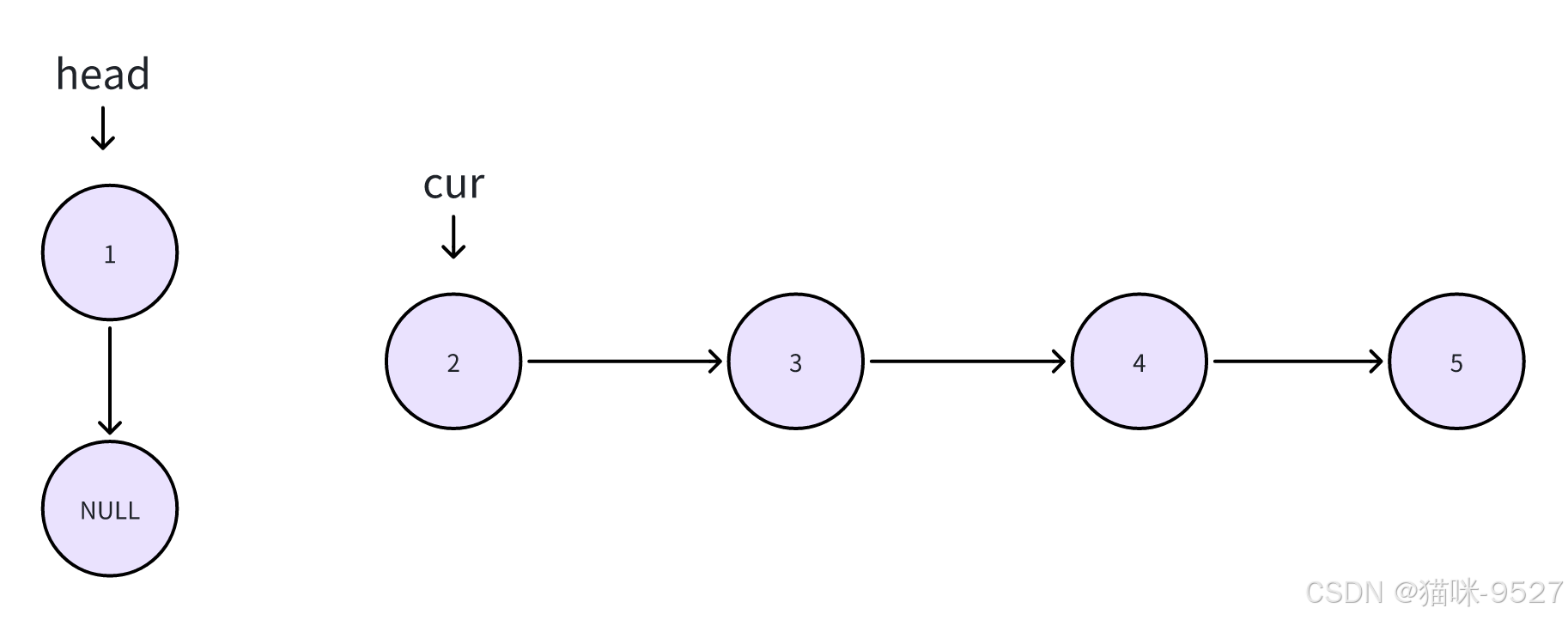
在链表算法题中很多时候都会给我们传来的头节点为空情况,如果我们没有判断直接对空指针进行解引用,程序可能会直接崩溃:

如果我们能引入一个头节点,则可以避免直接对空指针解引用情况

这个头节点我们也会称作‘哨兵位’:

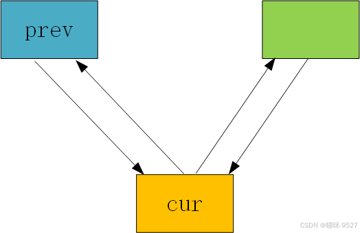
1.3.大胆引入中间变量

如果不引入中间变量

代码语言:javascript
代码运行次数:0
运行
复制
prev->pnext->pprev=cur;
cur->pnext=prev->pnext;
prev->pnext=cur;
cur->pprev=prev;

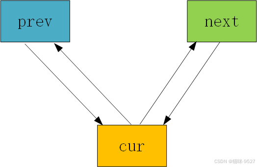
引入中间变量next,代码更加干净整洁

代码语言:javascript
代码运行次数:0
运行
复制
next=prev->pnext;
next->pprev=cur;
cur->pnext=next;
prev->pnext=cur;
cur->pprev=prev;

1.4.快慢双指针

1.4.1判断链表是否有环
  • 快指针(fast)一次走两步,慢指针(slow)一次走两步
  • 对有环的链表来说,慢指针相当于快指针不动,快指针相对慢指针一次一步
  • 对无环的链表来说,快指针会提前走出链表,让循环结束
  • 循环条件(fast==slow)有环,(fast->next==nullptr||fast->next->next==nullptr)无环

相遇:

1.4.2找链表中环的入口
  • 假设链表共有a+b个元素,从head(头节点)到圆环入口有a个元素,圆环有b个元素
  • 在有环基础上,两者相遇,快指针和慢指针分别走了f,s。f=2s(因为快指针是慢指针速度的两倍)
  • f=s+nb(fast比slow多走了n个圆环),所以f=2nb,s=nb
    • 固定此时相遇位置,slow从头开始再走一遍,slow到fast的位置就是圆环b的长度
    • 不固定此时相遇位置,slow从头出发,fast从相遇位置出发,两者都每次走一步,两者再次相遇的位置即为圆环入口的位置

2.常用操作

2.1. 创建一个新节点

例如:创建一个head的指针

代码语言:javascript
代码运行次数:0
运行
复制
s*head=new s();

2.2.尾插

代码语言:javascript
代码运行次数:0
运行
复制
tail->next=cur;
cur=tail;

2.3.头插

代码语言:javascript
代码运行次数:0
运行
复制
cur->next=head->next;
head->next=cur;

常用于反转链表

代码语言:javascript
代码运行次数:0
运行
复制
class Solution {
public:
    ListNode* reverseList(ListNode* head) {
        ListNode* phead=new ListNode();
        if(head==nullptr) return nullptr;
        phead->next=head;
        ListNode*cur=head->next;
        head->next=nullptr;
        while(cur!=nullptr)
        {
            ListNode*temp=cur->next;
            cur->next=phead->next;
            phead->next=cur;
            cur=temp;
        }
        return phead->next;
    }
};
本文参与 腾讯云自媒体同步曝光计划,分享自作者个人站点/博客。
原始发表:2025-04-06,如有侵权请联系 cloudcommunity@tencent.com 删除

本文分享自 作者个人站点/博客 前往查看

如有侵权,请联系 cloudcommunity@tencent.com 删除。

本文参与 腾讯云自媒体同步曝光计划  ,欢迎热爱写作的你一起参与!

评论
登录后参与评论
0 条评论
热度
最新
推荐阅读
目录
  • 1.常用技巧
    • 1.1.画图
    • 1.2.添加虚拟头节点
    • 1.3.大胆引入中间变量
    • 1.4.快慢双指针
      • 1.4.1判断链表是否有环
      • 1.4.2找链表中环的入口
    • 2.1. 创建一个新节点
    • 2.2.尾插
    • 2.3.头插
领券
问题归档专栏文章快讯文章归档关键词归档开发者手册归档开发者手册 Section 归档