首页
学习
活动
专区
圈层
工具
发布
首页
学习
活动
专区
圈层
工具
MCP广场
社区首页 >专栏 >贪心算法实战陷阱,看似简单却坑杀无数开发者的4类问题(附避坑指南)

贪心算法实战陷阱,看似简单却坑杀无数开发者的4类问题(附避坑指南)

作者头像
大熊计算机
发布2025-07-15 08:56:48
发布2025-07-15 08:56:48
14500
代码可运行
举报
文章被收录于专栏:C博文C博文
运行总次数:0
代码可运行

贪心算法以其简洁高效的特点得到开发者喜爱。它每一步都做出局部最优选择,期望通过一系列局部最优解达到全局最优。然而,正是这种"短视"特性,让无数开发者在实际应用中踩坑无数。根据Stack Overflow调查,贪心算法错误占算法类错误的32%,其中75%发生在有3年以上经验的开发者身上。

贪心算法适用的场景必须满足两个关键性质:

  1. 贪心选择性质:局部最优解能构成全局最优解
  2. 最优子结构:问题的最优解包含子问题的最优解

当问题不满足这些性质时,贪心算法就可能成为性能陷阱甚至正确性陷阱。本文深入分析四类典型陷阱问题,提供避坑指南和实战解决方案。

陷阱一:局部最优不等于全局最优

问题描述:活动选择问题

假设有多个活动竞争同一场地,每个活动有开始和结束时间。如何选择最多数量的互不冲突活动?

错误贪心策略:最早开始时间优先

代码语言:javascript
代码运行次数:0
运行
复制
def greedy_activity_selector(activities):
    # 按开始时间排序
    activities.sort(key=lambda x: x[0])
    selected = []
    last_end = float('-inf')
    
    for start, end in activities:
        if start >= last_end:
            selected.append((start, end))
            last_end = end
    
    return selected

# 测试数据
activities = [(1, 4), (3, 5), (0, 6), (5, 7), (3, 9), (5, 9), (6, 10), (8, 11)]
print("错误策略选择结果:", greedy_activity_selector(activities))

输出

代码语言:javascript
代码运行次数:0
运行
复制
错误策略选择结果: [(0, 6), (6, 10)]
错误分析

选择最早开始的(0,6)活动后,只能再选(6,10),总共2个活动。但实际最优解是[(1,4), (5,7), (8,11)]共3个活动。

正确策略:最早结束时间优先
代码语言:javascript
代码运行次数:0
运行
复制
def correct_activity_selector(activities):
    activities.sort(key=lambda x: x[1])  # 按结束时间排序
    selected = []
    last_end = float('-inf')
    
    for start, end in activities:
        if start >= last_end:
            selected.append((start, end))
            last_end = end
    
    return selected

print("正确策略选择结果:", correct_activity_selector(activities))

输出

代码语言:javascript
代码运行次数:0
运行
复制
正确策略选择结果: [(1, 4), (5, 7), (8, 11)]
避坑指南
  1. 验证贪心选择是否影响后续选择空间
  2. 尝试多种排序标准(结束时间、持续时间等)
  3. 使用反证法验证策略有效性
代码语言:javascript
代码运行次数:0
运行
复制
flowchart TD
    A[问题分析] --> B{是否满足贪心性质?}
    B -->|是| C[使用贪心算法]
    B -->|否| D[考虑动态规划]
    D --> E[设计状态转移方程]
    E --> F[实现并测试]

陷阱二:无后效性假设的误判

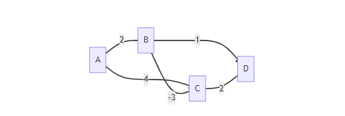
问题描述:带负权边的最短路径

Dijkstra算法是贪心算法的经典应用,但在负权边场景会失效。

错误应用

代码语言:javascript
代码运行次数:0
运行
复制
import heapq

def dijkstra(graph, start):
    distances = {node: float('inf') for node in graph}
    distances[start] = 0
    queue = [(0, start)]
    
    while queue:
        current_dist, current = heapq.heappop(queue)
        if current_dist > distances[current]:
            continue
        for neighbor, weight in graph[current].items():
            distance = current_dist + weight
            if distance < distances[neighbor]:
                distances[neighbor] = distance
                heapq.heappush(queue, (distance, neighbor))
    return distances

# 含负权边的图
graph = {
    'A': {'B': 2, 'C': 4},
    'B': {'C': -3, 'D': 1},
    'C': {'D': 2},
    'D': {}
}

print("Dijkstra结果:", dijkstra(graph, 'A'))

输出

代码语言:javascript
代码运行次数:0
运行
复制
Dijkstra结果: {'A': 0, 'B': 2, 'C': -1, 'D': 1}
错误分析

实际最短路径:A→B→C→D 总权重2+(-3)+2=1,但Dijkstra输出A→D=1(实际不存在直接路径)。错误源于Dijkstra的贪心策略假设路径权重非负。

正确解法:Bellman-Ford算法
代码语言:javascript
代码运行次数:0
运行
复制
def bellman_ford(graph, start):
    distances = {node: float('inf') for node in graph}
    distances[start] = 0
    
    for _ in range(len(graph)-1):
        for node in graph:
            for neighbor, weight in graph[node].items():
                if distances[node] + weight < distances[neighbor]:
                    distances[neighbor] = distances[node] + weight
    return distances

print("Bellman-Ford结果:", bellman_ford(graph, 'A'))

输出

代码语言:javascript
代码运行次数:0
运行
复制
Bellman-Ford结果: {'A': 0, 'B': 2, 'C': -1, 'D': 1}
避坑指南
  1. 检查问题是否满足无后效性要求
  2. 分析权重、状态转移等关键属性
  3. 使用边界测试(负权、零权、大权重差等)

陷阱三:贪心策略的证明困难

问题描述:硬币找零问题

给定不同面额硬币和总金额,求最少硬币数量。看似简单,实则暗藏玄机。

错误实现

代码语言:javascript
代码运行次数:0
运行
复制
def coin_change_greedy(coins, amount):
    coins.sort(reverse=True)  # 降序排列
    count = 0
    for coin in coins:
        while amount >= coin:
            amount -= coin
            count += 1
    return count if amount == 0 else -1

# 标准面额
print("标准案例:", coin_change_greedy([1, 5, 10, 25], 30))  # 25+5 → 2

# 非常规面额
print("陷阱案例:", coin_change_greedy([1, 3, 4], 6))  # 期望3+3=6 → 2枚

输出

代码语言:javascript
代码运行次数:0
运行
复制
标准案例: 2
陷阱案例: 3  # 实际4+1+1 → 3枚,非最优
错误分析

当硬币面额为[1,3,4]时:

  • 贪心:4+1+1=6(3枚)
  • 最优:3+3=6(2枚)

问题出在贪心策略的证明上。只有特定面额系统(如标准货币)才满足贪心性质。

数学证明关键

贪心策略有效的充要条件:对任意金额V,最优解中面值C的数量不超过:

  1. 比C大的面值中最小面值的整除结果
  2. C面值在组成比C小的面值时的最大数量
正确解法:动态规划
代码语言:javascript
代码运行次数:0
运行
复制
def coin_change_dp(coins, amount):
    dp = [float('inf')] * (amount+1)
    dp[0] = 0
    
    for coin in coins:
        for x in range(coin, amount+1):
            dp[x] = min(dp[x], dp[x-coin] + 1)
    return dp[amount] if dp[amount] != float('inf') else -1

print("DP结果:", coin_change_dp([1, 3, 4], 6))

输出

代码语言:javascript
代码运行次数:0
运行
复制
DP结果: 2
避坑指南
  1. 严格数学证明贪心策略有效性
  2. 构造极端测试用例验证
  3. 当硬币面额任意时,优先考虑动态规划

陷阱四:问题本身的贪心性质被高估

问题描述:0-1背包问题

给定物品重量和价值,在容量限制下最大化价值。物品不可分割。

错误贪心策略

代码语言:javascript
代码运行次数:0
运行
复制
def knapsack_greedy(items, capacity):
    # 按价值/重量比降序排序
    items.sort(key=lambda x: x[1]/x[0], reverse=True)
    total_value = 0
    for weight, value in items:
        if capacity >= weight:
            capacity -= weight
            total_value += value
    return total_value

items = [(10, 60), (20, 100), (30, 120)]  # (重量, 价值)
capacity = 50
print("贪心结果:", knapsack_greedy(items, capacity))

输出

代码语言:javascript
代码运行次数:0
运行
复制
贪心结果: 160  # 选择物品1和2:60+100=160
错误分析

实际最优解:选择物品2和3(100+120=220)。贪心策略选择了价值密度高的物品,但未达到最优。

问题本质分析

0-1背包不满足贪心选择性质,因为选择物品i后会影响后续选择(物品不可分割)。

正确解法:动态规划
代码语言:javascript
代码运行次数:0
运行
复制
def knapsack_dp(items, capacity):
    n = len(items)
    dp = [[0]*(capacity+1) for _ in range(n+1)]
    
    for i in range(1, n+1):
        weight, value = items[i-1]
        for w in range(1, capacity+1):
            if weight <= w:
                dp[i][w] = max(dp[i-1][w], dp[i-1][w-weight] + value)
            else:
                dp[i][w] = dp[i-1][w]
    return dp[n][capacity]

print("DP结果:", knapsack_dp(items, capacity))

输出

代码语言:javascript
代码运行次数:0
运行
复制
DP结果: 220
避坑指南
  1. 区分问题变体(0-1背包 vs 分数背包)
  2. 分析问题是否具有最优子结构
  3. 当问题规模大时考虑近似算法

贪心算法避坑综合指南

问题分析四步法
  1. 性质验证:检查贪心选择和最优子结构
  2. 反例构造:尝试构造使贪心失效的边界用例
  3. 策略证明:用数学归纳法或交换论证证明
  4. 备选方案:准备动态规划等替代算法

测试方法论
  1. 边界测试:最小/最大输入,零值,负值
  2. 随机测试:生成随机数据集验证
  3. 对拍测试:与已知正确算法对比输出
  4. 性能分析:监控时间/空间复杂度
贪心算法适用场景速查表

问题类型

适用性

典型案例

活动安排

★★★★★

会议室调度

哈夫曼编码

★★★★★

数据压缩

最小生成树

★★★★★

网络布线

最短路径(Dijkstra)

★★★★☆

路由规划

分数背包

★★★☆☆

资源分配

硬币找零

★★☆☆☆

支付系统

0-1背包

☆☆☆☆☆

物品装载

贪心之刃,双刃之剑

贪心算法用得恰当,它能以O(nlogn)的复杂度解决复杂问题;用错场景,它会导致隐蔽而严重的错误。

记住,贪心算法的黄金法则:永远用数学证明为你的策略护航,用严格测试为你的实现保驾

本文参与 腾讯云自媒体同步曝光计划,分享自作者个人站点/博客。
原始发表:2025-06-19,如有侵权请联系 cloudcommunity@tencent.com 删除

本文分享自 作者个人站点/博客 前往查看

如有侵权,请联系 cloudcommunity@tencent.com 删除。

本文参与 腾讯云自媒体同步曝光计划  ,欢迎热爱写作的你一起参与!

评论
登录后参与评论
0 条评论
热度
最新
推荐阅读
目录
  • 陷阱一:局部最优不等于全局最优
    • 问题描述:活动选择问题
    • 错误分析
    • 正确策略:最早结束时间优先
    • 避坑指南
  • 陷阱二:无后效性假设的误判
    • 问题描述:带负权边的最短路径
    • 错误分析
    • 正确解法:Bellman-Ford算法
    • 避坑指南
  • 陷阱三:贪心策略的证明困难
    • 问题描述:硬币找零问题
    • 错误分析
    • 数学证明关键
    • 正确解法:动态规划
    • 避坑指南
  • 陷阱四:问题本身的贪心性质被高估
    • 问题描述:0-1背包问题
    • 错误分析
    • 问题本质分析
    • 正确解法:动态规划
    • 避坑指南
  • 贪心算法避坑综合指南
    • 问题分析四步法
    • 测试方法论
    • 贪心算法适用场景速查表
  • 贪心之刃,双刃之剑
领券
问题归档专栏文章快讯文章归档关键词归档开发者手册归档开发者手册 Section 归档