地址:https://leetcode.cn/problems/construct-binary-tree-from-preorder-and-inorder-traversal/ 给定两个整数数组 preorder 和 inorder ,其中 preorder 是二叉树的先序遍历, inorder 是同一棵树的中序遍历,请构造二叉树并返回其根节点。

核心依据:两种遍历的特性 前序遍历:顺序为「根节点 → 左子树 → 右子树」,即第一个元素必然是当前子树的根节点。 中序遍历:顺序为「左子树 → 根节点 → 右子树」,即根节点左侧的元素都属于左子树,右侧的元素都属于右子树。
class Solution {
// 记录前序遍历的当前节点索引
int preIndex = 0;
public TreeNode buildTree(int[] preorder, int[] inorder) {
// 采用的递归的方法
return buildTreeChild(preorder, inorder, 0, inorder.length - 1);
}
public TreeNode buildTreeChild(int[] preorder, int[] inorder, int inBegin, int inEnd) {
// 区间无效(无节点),返回null这时候说明二叉树已经创建好了递归可以结束了
if (inBegin > inEnd) {
return null;
}
// 前序的当前节点作为根节点
TreeNode root = new TreeNode(preorder[preIndex]);
// 前序索引后移,指向下一个根节点
preIndex++;
// 在中序中找到根节点的位置
int rootIndex = findRootIndex(inorder, root.val, inBegin, inEnd);
// 递归构建左子树(中序左区间)和右子树(中序右区间)
root.left = buildTreeChild(preorder, inorder, inBegin, rootIndex - 1);
// 在每一个root变化的时候,子树的范围也在变化
//按着上面的图来说
/*假设前序遍历为 [1,2,3,4],中序遍历为 [2,1,3,4]:
第一层递归:
preIndex=0,root.val = preorder[0] = 1,此时 “根节点” 是整棵树的根(值为 1)。
在中序 [2,1,3,4] 中找 1 的位置,得到 rootIndex=1,划分左子树区间 [0,0](值 2)和右子树区间 [2,3](值 3,4)。
第二层递归(构建左子树):
preIndex=1(已递增),root.val = preorder[1] = 2,此时 “根节点” 是左子树的根(值为 2)。
在中序左区间 [0,0] 中找 2 的位置,得到 rootIndex=0,其左 / 右区间均无效(终止递归)。
第三层递归(构建右子树):
preIndex=2,root.val = preorder[2] = 3,此时 “根节点” 是右子树的根(值为 3)。
在中序右区间 [2,3] 中找 3 的位置,得到 rootIndex=2,划分右子树的右区间 [3,3](值 4)。
第四层递归(构建 3 的右子树):
preIndex=3,root.val = preorder[3] = 4,此时 “根节点” 是 3 的右子树的根(值为 4)。
在中序区间 [3,3] 中找 4 的位置,得到 rootIndex=3,递归终止。
*/
root.right = buildTreeChild(preorder, inorder, rootIndex + 1, inEnd);
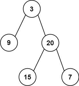
//二叉树创建完成就是比如说root = 3,那就是3.right = 9差不多就是这样子的
return root;
}
// 在中序遍历的[inBegin, inEnd]区间内找根节点的索引
//但是其实不加inBegin,inend也可以,但是可以避免全数组遍历导致错误。
public int findRootIndex(int[] inorder, int key, int inBegin, int inEnd) {
for (int i = inBegin; i <= inEnd; i++) {
if (key == inorder[i]) {
return i;
}
}
return -1;
}
}假设前序遍历为 [1,2,3,4],中序遍历为 [2,1,3,4]: 第一层递归: preIndex=0,root.val = preorder[0] = 1,此时 “根节点” 是整棵树的根(值为 1)。 在中序 [2,1,3,4] 中找 1 的位置,得到 rootIndex=1,划分左子树区间 [0,0](值 2)和右子树区间 [2,3](值 3,4)。 第二层递归(构建左子树): preIndex=1(已递增),root.val = preorder[1] = 2,此时 “根节点” 是左子树的根(值为 2)。 在中序左区间 [0,0] 中找 2 的位置,得到 rootIndex=0,其左 / 右区间均无效(终止递归)。 第三层递归(构建右子树): preIndex=2,root.val = preorder[2] = 3,此时 “根节点” 是右子树的根(值为 3)。 在中序右区间 [2,3] 中找 3 的位置,得到 rootIndex=2,划分右子树的右区间 [3,3](值 4)。 第四层递归(构建 3 的右子树): preIndex=3,root.val = preorder[3] = 4,此时 “根节点” 是 3 的右子树的根(值为 4)。 在中序区间 [3,3] 中找 4 的位置,得到 rootIndex=3,递归终止。
