在算法竞赛和工程数学中,求解线性方程组是高频问题,而高斯消元法正是解决这一问题的经典核心算法。它不仅能高效求解 n 元线性方程组,还能延伸应用到行列式计算、矩阵求逆、n 维球形空间球心求解等场景,是线性代数在算法领域的重要落地工具。本文将从线性方程组的基础概念出发,一步步拆解高斯消元法的原理、初等行变换规则、解的判定方法,再结合多道经典真题,实现从原理到 C++ 代码模板的完整落地,让零基础的同学也能彻底掌握高斯消元法!下面就让我们正式开始吧!
要理解高斯消元法,首先要建立线性方程组和矩阵之间的联系,将方程组转化为矩阵形式是高斯消元的第一步,也是核心前提。
由 n 个 m 元一次方程组成的方程组,称为n 元线性方程组(本文主要讨论 n 个 n 元的情况,即方程数 = 未知数个数),其标准形式为:

其中x1,x2,...,xn是待求解的未知数,ai,j是第 i 个方程中xj的系数,bi是第 i 个方程的常数项。
为了简化线性方程组的求解过程,我们可以将方程组的系数和常数项提取出来,组成特殊的矩阵,这也是高斯消元法的操作对象:
示例:对于三元线性方程组



增广矩阵的最后一列是方程组的常数项,这一列也是最终求解的关键 —— 当增广矩阵转化为简化阶梯型后,最后一列就是未知数的解。
高斯消元法的本质是通过矩阵的初等行变换,将增广矩阵转化为阶梯型矩阵(或简化阶梯型矩阵),进而通过回代或直接读取得到方程组的解。整个过程就像解一元一次方程的 “消元” 思路,通过消去未知数,将复杂的 n 元方程组转化为易求解的形式。
对增广矩阵执行的初等行变换是高斯消元法的基础,这三种变换不会改变方程组的解,也是我们化简矩阵的唯一手段,必须牢记:
这三种变换的核心目的是消去未知数的系数,让矩阵呈现出 “阶梯状” 的结构,方便后续求解。
高斯消元法的目标是将增广矩阵转化为阶梯型矩阵,进一步可转化为简化阶梯型矩阵,后者能直接读取解,是最理想的形式。
以三元方程组的增广矩阵为例,手把手演示高斯消元法的手算步骤,分为消元阶段(转化为阶梯型)和回代 / 化简阶段(转化为简化阶梯型),理解手算过程是编写代码的关键。
原始增广矩阵:






此时矩阵已成为阶梯型矩阵,可通过回代法求解:从最后一行z=−2代入上一行,依次求出y、x。
为了直接读取解,继续对阶梯型矩阵做初等行变换,消去主元上方的元素:


至此得到简化阶梯型矩阵,直接读取解即可,整个过程无需求解复杂的方程,这就是高斯消元法的高效性。
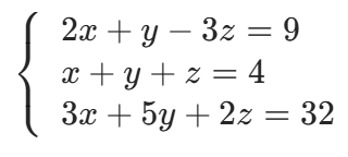
高斯消元法不仅能求解方程组,还能判定解的存在性和唯一性,线性方程组共有三种解的情况:唯一解、无解、无穷多解,核心通过转化后的增广矩阵判断,这也是算法编程中的重点和难点。
判定条件:增广矩阵转化为阶梯型后,非零行的数量 = 未知数的数量,且无矛盾行(0 行对应非零常数)。
本质:方程数足够,且相互独立,能唯一确定每个未知数的值,也是我们最常遇到的情况,如上述的三元方程组。
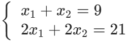
判定条件:增广矩阵转化为阶梯型后,出现全 0 系数行对应非零常数项的行(即0=k,k=0)。
本质:方程组中存在相互矛盾的方程,无法同时满足,因此无解。
示例:方程组

,其增广矩阵转化后为:

第二行表示0x1+0x2=3,显然矛盾,因此方程组无解。
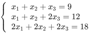
判定条件:增广矩阵转化为阶梯型后,非零行的数量 < 未知数的数量,且无矛盾行。
本质:方程数不足,存在自由元(可任意取值的未知数),自由元的个数 = 未知数个数 - 非零行数量,每个自由元取一个值,就能得到一组解,因此有无穷多解。
示例:方程组

,
转化后的简化阶梯型矩阵为:

非零行数量 = 2 < 未知数数量 = 3,存在 1 个自由元x2,解为x1=6−x2,x3=3,x2可取任意值,对应无穷多解。
在判定无穷多解时,主元和自由元是核心概念:
总结:解的判定是高斯消元法的重要环节,代码中需要先完成矩阵化简,再遍历矩阵判断属于哪种情况,再输出对应结果。
理解了高斯消元法的原理和手算步骤后,接下来实现通用的 C++ 代码模板,这是解决所有高斯消元相关问题的基础。模板的核心是通过编程模拟初等行变换,将增广矩阵转化为简化阶梯型矩阵,再判定解的情况。
double类型存储矩阵元素,定义极小值eps=1e-7判断浮点数是否为 0(避免精度误差);#include <iostream>
#include <cmath>
#include <algorithm>
using namespace std;
const int N = 110; // 矩阵最大规模,可根据题目调整
const double eps = 1e-7; // 浮点数精度,判断是否为0
double a[N][N]; // 存储增广矩阵,n*(n+1)
int n; // 未知数的数量
// 判断浮点数是否为0
inline bool is_zero(double x) {
return fabs(x) < eps;
}
// 高斯消元核心函数,返回值:1-唯一解,0-无解,2-无穷多解
int gauss() {
// c:当前处理的主元列,r:当前处理的行
int c, r;
for (c = 1, r = 1; c <= n; c++) {
// 步骤1:选主元行,找当前列中绝对值最大的行
int max_row = r;
for (int i = r; i <= n; i++) {
if (fabs(a[i][c]) > fabs(a[max_row][c])) {
max_row = i;
}
}
// 若主元为0,说明是自由元,跳过当前列
if (is_zero(a[max_row][c])) continue;
// 步骤2:交换主元行到当前行
for (int i = c; i <= n + 1; i++) {
swap(a[max_row][i], a[r][i]);
}
// 步骤3:将主元化为1,整行除以主元
double div = a[r][c];
for (int i = c; i <= n + 1; i++) {
a[r][i] /= div;
}
// 步骤4:消去当前列的其他所有行的元素,化为0
for (int i = 1; i <= n; i++) {
if (i != r && !is_zero(a[i][c])) {
double t = a[i][c];
for (int j = c; j <= n + 1; j++) {
a[i][j] -= t * a[r][j];
}
}
}
r++; // 处理下一行
}
// 步骤5:判定解的情况
// 情况1:无解:存在0行对应非零常数项(0=k, k≠0)
for (int i = r; i <= n; i++) {
if (!is_zero(a[i][n + 1])) {
return 0;
}
}
// 情况2:无穷多解:非零行数量 < 未知数数量
if (r <= n) {
return 2;
}
// 情况3:唯一解,此时矩阵已是简化阶梯型,直接读取最后一列
return 1;
}
int main() {
// 输入:n个未知数,n行,每行n+1个数(系数+常数项)
cin >> n;
for (int i = 1; i <= n; i++) {
for (int j = 1; j <= n + 1; j++) {
cin >> a[i][j];
}
}
int res = gauss();
if (res == 0) {
cout << "No Solution" << endl;
} else if (res == 2) {
cout << "Infinite Solutions" << endl;
} else {
// 输出唯一解,保留2位小数(可根据题目调整)
for (int i = 1; i <= n; i++) {
printf("%.2lf\n", a[i][n + 1]);
}
}
return 0;
}x==0判断,而是通过fabs(x) < eps判断,eps一般取10−7 /10−8;printf格式化输出,可根据题目要求调整保留的小数位数。题目链接:https://www.luogu.com.cn/problem/P3389

给定 n 元线性方程组,求解该方程组,若不存在唯一解则输出No Solution,若有唯一解则输出每个未知数的值,保留 2 位小数。
No Solution。直接复用通用模板,稍作修改:将高斯消元函数的返回值简化,若主元列出现 0 则直接返回无解,无需判断无穷多解,其余逻辑完全一致。
#include <iostream>
#include <cmath>
#include <algorithm>
using namespace std;
const int N = 110;
const double eps = 1e-7;
double a[N][N];
int n;
inline bool is_zero(double x) {
return fabs(x) < eps;
}
int gauss() {
int c, r;
for (c = 1, r = 1; c <= n; c++) {
int max_row = r;
for (int i = r; i <= n; i++) {
if (fabs(a[i][c]) > fabs(a[max_row][c])) {
max_row = i;
}
}
if (is_zero(a[max_row][c])) return 0; // 无唯一解
for (int i = c; i <= n + 1; i++) swap(a[max_row][i], a[r][i]);
double div = a[r][c];
for (int i = c; i <= n + 1; i++) a[r][i] /= div;
for (int i = 1; i <= n; i++) {
if (i != r && !is_zero(a[i][c])) {
double t = a[i][c];
for (int j = c; j <= n + 1; j++) {
a[i][j] -= t * a[r][j];
}
}
}
r++;
}
return 1; // 有唯一解
}
int main() {
cin >> n;
for (int i = 1; i <= n; i++) {
for (int j = 1; j <= n + 1; j++) {
cin >> a[i][j];
}
}
if (gauss() == 0) {
cout << "No Solution" << endl;
} else {
for (int i = 1; i <= n; i++) {
printf("%.2lf\n", a[i][n + 1]);
}
}
return 0;
}题目链接:https://www.luogu.com.cn/problem/P2455

给定 n 元线性方程组,根据输入数据输出解的情况:
-1;0。直接使用本文第四节的通用高斯消元模板,主函数中根据高斯消元函数的返回值(0 - 无解,1 - 唯一解,2 - 无穷多解)输出对应结果即可,无需修改核心逻辑。
#include <iostream>
#include <cmath>
#include <algorithm>
using namespace std;
const int N = 55; // 题目中n≤50,缩小规模
const double eps = 1e-7;
double a[N][N];
int n;
inline bool is_zero(double x) {
return fabs(x) < eps;
}
int gauss() {
int c, r;
for (c = 1, r = 1; c <= n; c++) {
int max_row = r;
for (int i = r; i <= n; i++) {
if (fabs(a[i][c]) > fabs(a[max_row][c])) {
max_row = i;
}
}
if (is_zero(a[max_row][c])) continue;
for (int i = c; i <= n + 1; i++) swap(a[max_row][i], a[r][i]);
double div = a[r][c];
for (int i = c; i <= n + 1; i++) a[r][i] /= div;
for (int i = 1; i <= n; i++) {
if (i != r && !is_zero(a[i][c])) {
double t = a[i][c];
for (int j = c; j <= n + 1; j++) {
a[i][j] -= t * a[r][j];
}
}
}
r++;
}
// 判定无解
for (int i = r; i <= n; i++) {
if (!is_zero(a[i][n + 1])) return 0;
}
// 判定无穷多解
if (r <= n) return 2;
// 唯一解
return 1;
}
int main() {
cin >> n;
for (int i = 1; i <= n; i++) {
for (int j = 1; j <= n + 1; j++) {
cin >> a[i][j];
}
}
int res = gauss();
if (res == 0) {
cout << -1 << endl;
} else if (res == 2) {
cout << 0 << endl;
} else {
for (int i = 1; i <= n; i++) {
printf("x%d=%.2lf\n", i, a[i][n + 1]);
}
}
return 0;
}高斯消元法不仅能求解线性方程组,还能延伸解决矩阵求逆、n 维球形空间球心求解、行列式计算等问题,本文选取了两个经典的算法竞赛真题,讲解高斯消元法的进阶应用,进一步体现其通用性。
题目链接:https://www.luogu.com.cn/problem/P4783

对于 n 阶方阵 A,若其可逆(行列式≠0),则可通过高斯 - 约当消元法求其逆矩阵A−1,核心思路是:
No Solution。由于题目要求对109+7取模,需使用整数模运算,用快速幂求逆元代替除法(因为模运算中无除法,除以 k 等价于乘以 k 的逆元)。
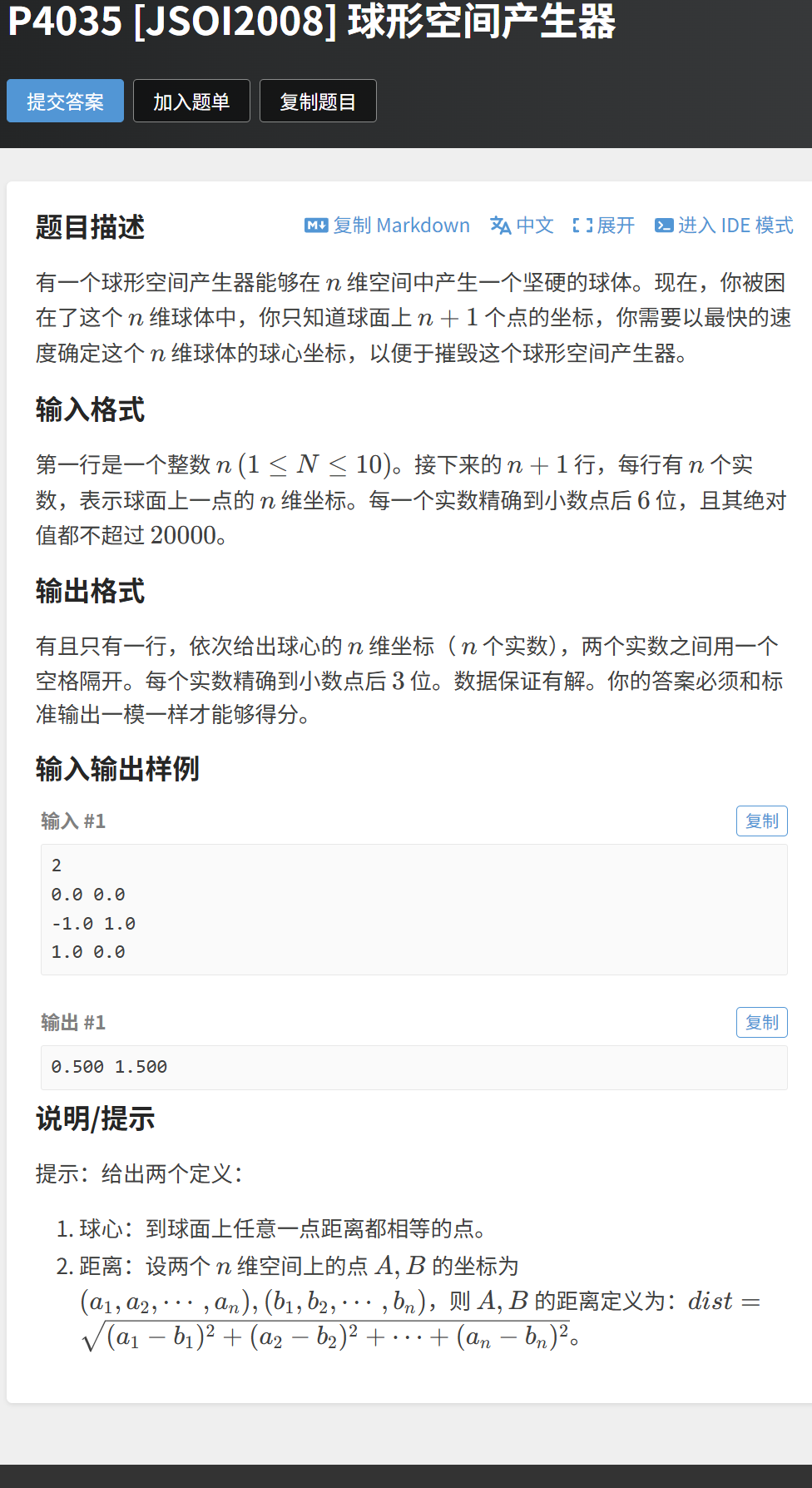
long long存储矩阵元素,避免溢出;qpow(a, MOD-2, MOD)(费马小定理,MOD 为质数);题目链接:https://www.luogu.com.cn/problem/P4035

n 维球体的球心(x1,x2,...,xn)满足:球面上任意一点(p1,p2,...,pn)到球心的距离的平方等于半径的平方,即

。
取球面上 n+1 个点,两两作差消去R2,可得到 n 个线性方程,构成 n 元线性方程组,用高斯消元法求解该方程组,即可得到 n 维球心的坐标。
这两个应用的核心仍是高斯消元法的初等行变换,只是增广矩阵的构造方式不同,充分说明高斯消元法是线性代数中最通用的算法之一。
高斯消元法看似繁琐,实则有固定的规律和模板,只要掌握了核心的初等行变换和解的判定方法,就能轻松解决各类相关问题。它不仅是算法竞赛的高频考点,也是工程数学、机器学习、数值计算等领域的基础工具,掌握高斯消元法,能为后续的线性代数和算法学习打下坚实的基础。 从线性方程组到矩阵求逆,再到 n 维空间的球心求解,高斯消元法的通用性让我们看到了数学算法的魅力。希望本文能帮助大家从原理到实战,彻底掌握高斯消元法,在算法竞赛和实际应用中灵活运用!