首页
学习
活动
专区
圈层
工具
发布
首页
学习
活动
专区
圈层
工具
MCP广场
社区首页 >专栏 >如何在AVL树中高效插入并保持平衡:一步步掌握旋转与平衡因子 —— 平衡因子以及AVL结构篇

如何在AVL树中高效插入并保持平衡:一步步掌握旋转与平衡因子 —— 平衡因子以及AVL结构篇

作者头像
用户11286421
发布2025-03-16 20:37:17
发布2025-03-16 20:37:17
20500
代码可运行
举报
文章被收录于专栏:学习学习
运行总次数:0
代码可运行

AVL树的概念

AVL树(Adelson-Velsky and Landis Tree)是一种自平衡二叉查找树,它的特点是每个节点的左子树和右子树的高度差不能超过1。这意味着AVL树是一种平衡的二叉树,通过保持树的平衡来保证查找操作的时间复杂度为O(log n),从而提高性能。

AVL树当中,重要的一个概念:

  • 平衡因子(Balance Factor, BF): 每个节点都有一个平衡因子,定义为节点的左子树高度减去右子树高度。(当然,右子树的高度减去左子树的高度也是可以的)平衡因子的值只能是-1、0或1。
  • 今天这篇文章,作者定义的平衡因子是 bf = rh(right height) - lh(left height);即选择右子树高度减去左子树高度

AVL树的结构

代码语言:javascript
代码运行次数:0
运行
复制
template<class K, class V>
struct AVLTreeNode 
{
    // 每个节点包含的元素和指针
    pair<K, V> _kv;           // 存储键值对
    AVLTreeNode<K, V>* _left;  // 左子树指针
    AVLTreeNode<K, V>* _right; // 右子树指针
    AVLTreeNode<K, V>* _parent; // 父节点指针
    int _bf;                   // 平衡因子

    // 构造函数
    AVLTreeNode(const pair<K, V>& kv)
        : _kv(kv)
        , _left(nullptr)
        , _right(nullptr)
        , _parent(nullptr)
        , _bf(0)
    {}
};

template<class K, class V>
class AVLTree 
{
    typedef AVLTreeNode<K, V> Node;  // 节点类型
public:

    // 其他操作(插入、删除、查找等)可以在此添加
    //	旋转
    
	/**/   旋转的详细讲解在下一篇文章,有兴趣的读者可以前往下一篇进行查看**

private:
    Node* _root;  // 根节点指针
};

AVL树的插入

重点关注如何在插入时保持树的平衡。

插入操作概述 AVL树插入操作的过程与普通的二叉搜索树插入过程相似,唯一不同的是,AVL树在插入节点后需要检查树的平衡性,并进行必要的旋转操作来保持平衡。我们可以将插入操作分为几个步骤:

  1. 二叉搜索树的插入:按照二叉搜索树的规则插入节点。
  2. 更新节点高度:插入节点后,需要更新沿路径的所有节点的高度。
  3. 检查平衡因子:检查每个节点的平衡因子,确定是否需要进行旋转。
  4. 旋转操作:如果某个节点的平衡因子不在-1, 0, 1范围内,进行旋转以恢复平衡。

平衡因子更新终止条件

  • 更新后parent的平衡因⼦等于0,更新中parent的平衡因⼦变化为-1->0或者1->0,说明更新前parent⼦树⼀边⾼⼀边低,新增的结点插⼊在低的那边,插⼊后parent所在的⼦树⾼度不变,不会影响parent的⽗亲结点的平衡因⼦,更新结束。
  • 更新后parent的平衡因⼦等于1或 -1,更新前更新中parent的平衡因⼦变化为0->1或者0->-1,说明更新前parent⼦树两边⼀样⾼,新增的插⼊结点后,parent所在的⼦树⼀边⾼⼀边低,parent所在的⼦树符合平衡要求,但是⾼度增加了1,会影响arent的⽗亲结点的平衡因⼦,所以要继续向上更新。
  • 更新后parent的平衡因⼦等于2 或 -2,更新前更新中parent的平衡因⼦变化为1->2 或者 -1->-2,说明更新前parent⼦树⼀边⾼⼀边低,新增的插⼊结点在⾼的那边,parent所在的⼦树⾼的那边更⾼了,破坏了平衡,parent所在的⼦树不符合平衡要求,需要旋转处理,旋转的⽬标有两个:1、把parent⼦树旋转平衡。2、降低parent⼦树的⾼度,恢复到插⼊结点以前的⾼度。所以旋转后也不需要继续往上更新,插⼊结束。

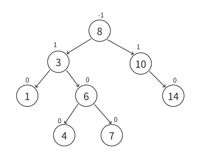
平衡因子更新的3种情况。

更新到10结点,平衡因⼦为2,10所在的⼦树已经不平衡,需要旋转处理

更新到中间结点,3为根的⼦树⾼度不变,不会影响上⼀层,更新结束

最坏更新到根停⽌

插入以及平衡因子的保持

代码语言:javascript
代码运行次数:0
运行
复制
	bool Insert(const pair<K, V>& kv) 
	{
        if (_root == nullptr) 
        {
            _root = new Node<K, V>(kv);
            return true;
    	}

        Node<K, V>* parent = nullptr;
        Node<K, V>* cur = _root;

        // 寻找插入位置
        while (cur) 
        {
            parent = cur;
            if (kv.first < cur->_kv.first) 
            {
                cur = cur->_left;
            } 
            else if (kv.first > cur->_kv.first) 
            {
                cur = cur->_right;
            } 
            else 
            {
                return false;  // 键值已存在
            }
        }

        // 创建新的节点并连接到父节点
        cur = new Node<K, V>(kv);
        if (kv.first < parent->_kv.first) 
        {
            parent->_left = cur;
        } 
        else 
        {
            parent->_right = cur;
        }
        cur->_parent = parent;

        // 更新平衡因子并处理不平衡
        while (parent) 
        {
            if (cur == parent->_left) 
            {
                parent->_bf--;  // 左子树高,平衡因子减1
            } 
            else 
            {
                parent->_bf++;  // 右子树高,平衡因子加1
            }
			//平衡因子 = 右子树 - 左子树

            // 如果平衡因子为0,结束更新
            if (parent->_bf == 0) 
            {
                break;
            }

            // 如果平衡因子为±1,继续向上更新
            if (parent->_bf == 1 || parent->_bf == -1) 
            {
                cur = parent;
                parent = parent->_parent;
            }
            // 如果平衡因子为±2,说明不平衡,进行旋转处理
            else if (parent->_bf == 2 || parent->_bf == -2) 
            {
                // 旋转处理
                /**/   旋转的详细讲解在下一篇文章,有兴趣的读者可以前往下一篇进行查看**
                if (parent->_bf == -2 && cur->_bf == -1)//左高(在左子树)——右旋
				{
					RotateR(parent);
				}
				else if (parent->_bf == 2 && cur->_bf == 1)//右高(在左子树)——左旋
				{
					RotateL(parent);
				}
				else if (parent->_bf == -2 && cur->_bf == 1)//左高(在右子树)——左右旋
				{
					RotateLR(parent);
				}
				else if (parent->_bf == 2 && cur->_bf == -1)//右高(在左子树)——右左旋
				{
					RotateRL(parent);
				}
				else
				{
					assert(false);
				}
                break;
            } 
            else 
            {
                assert(false);  // 应该不会发生
            }
        }

        return true;
    }

AVL树的查找

⼆叉搜索树逻辑实现即可,搜索效率为 O(logN)

代码语言:javascript
代码运行次数:0
运行
复制
Node* Find(const K& key)
{
    // 从根节点开始查找
    Node* cur = _root;

    // 遍历树,直到找到目标节点或到达空节点
    while (cur)
    {
        // 如果当前节点的键小于目标键,向右子树查找
        if (cur->_kv.first < key)
        {
            cur = cur->_right;
        }
        // 如果当前节点的键大于目标键,向左子树查找
        else if (cur->_kv.first > key)
        {
            cur = cur->_left;
        }
        // 如果当前节点的键等于目标键,返回当前节点
        else
        {
            return cur;
        }
    }

    // 如果遍历结束仍未找到目标节点,返回 nullptr
    return nullptr;
}
本文参与 腾讯云自媒体同步曝光计划,分享自作者个人站点/博客。
原始发表:2025-03-15,如有侵权请联系 cloudcommunity@tencent.com 删除

本文分享自 作者个人站点/博客 前往查看

如有侵权,请联系 cloudcommunity@tencent.com 删除。

本文参与 腾讯云自媒体同步曝光计划  ,欢迎热爱写作的你一起参与!

评论
登录后参与评论
0 条评论
热度
最新
推荐阅读
目录
  • AVL树的概念
  • AVL树的结构
  • AVL树的插入
  • 平衡因子更新终止条件
  • 插入以及平衡因子的保持
  • AVL树的查找
领券
问题归档专栏文章快讯文章归档关键词归档开发者手册归档开发者手册 Section 归档