什么是AVL呢?
AVL树是一种自平衡的二叉搜索查找树,在C++中常用于实现高效的动态集合操作,例如插入、删除和查找。AVL树得名于它的发明者G. M. Adelson-Velsky和E. M. Landis,他们于1962年首次提出这一数据结构。AVL树的出现是为了控制搜索二叉树的平衡,所以AVL树引入了一个平衡因子的概念~
平衡因子 = 左子树高度 - 右子树高度。(当然也可以是【右子树高度 - 左子树高度】)有的人可能会说,既然是平衡的,那么为什么不是高度差为0呢?这一点事实上是很难做到的,因为要保证每一个节点高度差为0,那么只有满二叉树才可以满足这个条件了~这样不就只可以表示满二叉树了吗!高度差为0看似完美,但在实际节点数分布下(如2个节点、4个节点等)往往无法实现。所以高度差不超过1的规则,既保证了树的平衡性,又允许树根据节点数灵活调整结构,避免因过度限制导致构建失败。这种设计在保持高效操作的同时,实现了平衡性与灵活性的统一!
我们可以来看看例子:(以【右子树高度 - 左子树高度】为标准)
不难看出下面的这样一颗二叉树就是AVL树,每一个结点的左右子树高度差都不大于1~

但是下面的这一棵二叉树就不是AVL树,结点10的左右子树高度差为2,不满足条件~

结合前面博客中二叉搜索树的结构二叉搜索树,那么AVL树是平衡的二叉搜索树,那么肯定有二叉搜索树的大体结构~
二叉搜索树的结点应该保存三个数据: 1、当前结点保存的数据 2、当前结点的左子树地址 3、当前结点的右子树地址 AVL树结点还需要添加部分内容,一个是平衡因子,一个是双亲指针~ 平衡因子好理解,双亲指针有什么作用呢?在后面我们会进行解释~
知道了结点的定义,我们就可以这样定义AVL树的结构:
//AVL树结点结构
template<class K,class V>
struct AVLTreeNode
{
pair<K, V> _kv;//保存的数据类型
AVLTreeNode<K, V>* _left;//左孩子结点指针
AVLTreeNode<K, V>* _right;//右孩子结点指针
AVLTreeNode<K, V>* _parent;//双亲结点指针
int _bf;//平衡因子
//初始化
AVLTreeNode(const pair<K, V>& kv)
:_kv(kv),
_left(nullptr),
_right(nullptr),
_parent(nullptr),
_bf(0)
{
}
};
//AVL树结构
template<class K, class V>
class AVLTree
{
typedef AVLTreeNode<K,V> Node;
private:
Node* _root = nullptr;//根节点
public:
//功能实现
};知道了AVL树的结构,接下来我们就可以对AVL树进行插入,删除等操作了
我们首先来看看对AVL树的插入数据操作~



有了上面的这些画图理解和理论基础,接下来我们来进行代码实现:
//插入结点
bool insert(const pair<K, V>& kv)
{
if (_root == nullptr)//不存在根结点
{
//插入结点就是根结点
_root = new Node(kv);
return true;//插入成功
}
//存在根结点——找到应该插入的位置
Node* parent = nullptr;
Node* cur = _root;
while (cur)
{
if (kv.first < cur->_kv.first)//比当前结点小,插入当前结点左子树
{
parent = cur;
cur = cur->_left;
}
else if (kv.first > cur->_kv.first)//比当前结点大,插入当前结点右子树
{
parent = cur;
cur = cur->_right;
}
else//相等就不进行插入,插入失败
{
return false;
}
}
//parent即为插入结点父结点
cur = new Node(kv);
//判断是插入父结点左边还是右边
if (kv.first < parent->_kv.first)
{
parent->_left = cur;
}
else if (kv.first > parent->_kv.first)
{
parent->_right = cur;
}
cur->_parent = parent;
//平衡因子更新
while (parent)
{
//我们实现的AVL树平衡因子的计算公式为:平衡因子 = 右子树高度 - 左子树高度
if (parent->_left == cur)
//插入结点在左子树,父结点平衡因子--
{
parent->_bf--;
}
else if (parent->_right == cur)
//插入结点在右子树,父结点平衡因子++
{
parent->_bf++;
}
//分情况讨论
//1、父结点平衡因子更新为0,不需要继续向上更新
if (parent->_bf == 0)
break;
//2、父结点平衡因子更新为-1或者1,需要继续向上更新
//如果当前父结点为根结点,parent会到空,跳出循环
else if (parent->_bf == -1 || parent->_bf == 1)
{
cur = parent;
parent = parent->_parent;
}
//3、父结点平衡因子更新为-2或者2,已经不平衡需要旋转处理
else if (parent->_bf == -2 || parent->_bf == 2)
{
//旋转处理
break;
}
//其他情况,说明更新有问题
else
{
assert(false);
}
}
//更新结束
return true;
}总的逻辑写完了,接下来就是我们的旋转处理了,我们继续来看看~
在前面我们已经进行了平衡因子的更新,我们可以发现当有结点的平衡因子达到2或者-2的时候,这个时候就不是平衡二叉树了,那么我们就需要进行旋转处理~
我们以这个例子来看看:

我们进行左单旋

仅仅看这个,可能会有一点难以理解,我们根据这个来画一个通用的图:
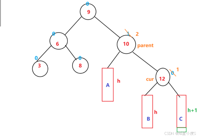
插入前(h表示任意高度,可以是0,可以是1,可以是2....)

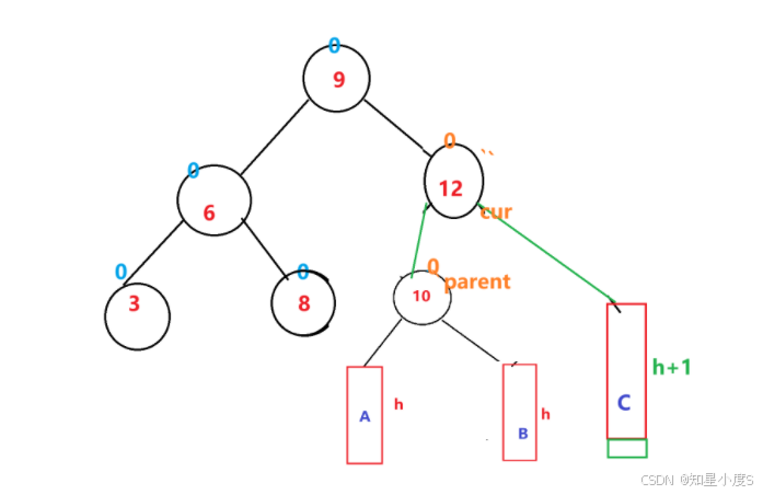
插入后:

左单旋(B变成parent的右边,parent变成cur的左边)

为了后面代码实现,我们这里把cur记为subR,B记录为subRL~


有了前面的画图,接下来我们进行代码实现:
void RotateL(Node* parent)
{
Node* subR = parent->_right;//cur
Node* subRL = subR->_left;//B
//更改指向
subR->_left = parent;
parent->_right = subRL;
//修改变动结点(subR,subRL,parent)的parent
if(subRL)//subRL可能为空
subRL->_parent = parent;
parent->_parent = subR;
//subR可能成为整棵树的根结点,需要进行判断更新subR的parent
Node* parentParent = parent->_parent;
if (parentParent == nullptr)
{
//subR成为整棵树的根结点
_root = subR;
subR->_parent = nullptr;
}
else
{
if (parentParent->_left == parent)//判断原节点是父亲的左/右结点
{
parentParent->_left == subR;
}
else
{
parentParent->_right = subR;
}
//更新subR父结点
subR->_parent = parentParent;
}
//更新平衡因子
parent->_bf = subR->_bf = 0;
}相信有了左单旋的基础,右单旋就更加简单了~
我们依然进行画图理解:

前面我们提到过h是可以代表任意高度的,这里我们讨论几种情况:
情况一:h==0

情况二:h==1

情况三:h==2

情况四:h==3

我们可以发现不论是哪一种情况,都是可以进行相同的右单旋操作,也就有了我们的通用方案~

接下来,我们就进行代码实现:
void RotateR(Node* parent)
{
Node* subL = parent->_left;
Node* subLR = subL->_right;//b
//旋转操作
parent->_left = subLR;
subL->_right = parent;
//更新相应结点parent
if (subLR)//h可能等于0,那么subLR可能为空
subLR->_parent = parent;
Node* parentParent = parent->_parent;//保存父结点的父亲
if (parentParent == nullptr)//说明原来的父结点是根结点
{
_root = subL;
subL->_parent = nullptr;
}
else
{
if (parentParent->_left == parent)//父结点是左孩子
{
parentParent->_left = subL;
}
else
{
//父结点是右孩子
parentParent->_right = subL;
}
subL->_parent = parentParent;
}
parent->_parent = subL;
//更新平衡因子
subL->_bf = parent->_bf = 0;
}代码大致上是差不多的,只是逻辑上有一些区别~
有了左单旋和右单旋,接下来,我们来看看更加复杂的情况~
在有些情况下,我们仅仅进行左单旋或者右单旋是无法解决问题的,比如说下面的例子~
示例:不再是单纯的左边高,结点10是左边高,而结点5是右边高~也就可以发现插入节点之后parent和cur结点平衡因子异号~


显然进行简单的单旋操作就不能解决问题了~单旋之后依然是不平衡的~
我们继续以一个通用的例子进行分析:

我们可以看到在b子树新增加结点导致5结点右边高,10结点左边高,简单的单旋无法重新设置平衡,我们需要进行双旋,双旋就是利用两次单旋,经过第一次单旋让10结点变成单纯的左边高,再一次单旋就可以达到平衡~
我们对b子树进行进一步的拆分

b子树新增加的结点点有下面的三种情况,我们来进行逐一分析:
情况一:新增加结点在e子树

第一步:以5(subL)为旋转点进行左单旋


第二步;以10结点(parent)为旋转点进行右单旋

经过两步单旋操作之后,这就平衡了~
情况二:新增加结点在f子树

情况三:新增结点就是b子树(也就是h==0)

这三种情况都是先进行左单旋再进行右单旋,操作是一样的,那么我们就可以进行代码复用,使用前面的左右单旋代码,这里比较麻烦的是平衡因子的更新~
我们可以看到三种情况的平衡因子是不一样的,我们可以根据结点插入后subLR的平衡因子来进行分情况讨论更新平衡因子~
代码实现:
void RotateLR(Node* parent)
{
Node* subL = parent->_left;
Node* subLR = subL->_right;
//根据没有旋转前subLR的平衡因子分情况讨论
int bf = subLR->_bf;
//先以subL为旋转点左旋
RotateL(subL);
//再以parent为旋转点右旋
RotateR(parent);
//每一个结点父结点已经更新,只需要修改平衡因子
if (bf == -1)//插入在e子树
{
subLR->_bf = 0;
subL->_bf = 0;
parent->_bf = 1;
}
else if (bf == 1)//插入在f子树
{
subLR->_bf = 0;
subL->_bf = -1;
parent->_bf = 0;
}
else if (bf == 0)//插入在b子树自己
{
subLR->_bf = 0;
subL->_bf = 0;
parent->_bf = 0;
}
else//其他情况,说明有问题
{
assert(false);
}
}知道了左右双旋,那么右左双旋就好分析了~
我们同样用一个通用的例子来进行分析:

我们直接画图理解
对b子树进行进一步拆分:

b子树新增加的结点点有下面的三种情况,我们来进行逐一分析:
情况一:新增加结点在e子树

情况二:新增加结点在f子树

第一步:以15(subR)为旋转点进行右单旋


第二步;以10结点(parent)为旋转点进行左单旋

完整图

情况三:新增结点就是b子树(也就是h==0)

这三种情况都是先进行右单旋再进行左单旋,操作是一样的,那么我们就可以进行代码复用,使用前面的左右单旋代码,这里比较麻烦的是平衡因子的更新~
根据经验,我们可以利用结点插入后subRL的平衡因子来进行分情况讨论更新平衡因子~
代码实现:
void RotateRL(Node* parent)
{
Node* subR = parent->_right;
Node* subRL = subR->_left;
//根据没有旋转前subRL的平衡因子分情况讨论
int bf = subRL->_bf;
//先以subR为旋转点右旋
RotateR(subR);
//再以parent为旋转点左旋
RotateL(parent);
//每一个结点父结点已经更新,只需要修改平衡因子
if (bf == -1)//插入在e子树
{
subRL->_bf = 0;
subR->_bf = 1;
parent->_bf = 0;
}
else if (bf == 1)//插入在f子树
{
subRL->_bf = 0;
subR->_bf = 0;
parent->_bf = -1;
}
else if (bf == 0)//插入在b子树自己
{
subRL->_bf = 0;
subR->_bf = 0;
parent->_bf = 0;
}
else//其他情况,说明有问题
{
assert(false);
}
}我们知道AVL树是二叉平衡搜索树,那么我们就可以使用二叉搜索树的查找逻辑~
代码实现:
//查找结点
Node* Find(const K&key)//查找key
{
Node* cur = _root;
while (cur)
{
if (cur->_kv.first > key)//key在左子树
{
cur = cur->_left;
}
else if (cur->_kv.first < key)//key在右子树
{
cur = cur->_right;
}
else
{
return cur;//相等,返回当前结点
}
}
//没有找到返回空
return nullptr;
}AVL树的实现就结束了~
#include<iostream>
#include<vector>
#include<cassert>
using namespace std;
//AVL树结点结构
template<class K,class V>
struct AVLTreeNode
{
pair<K, V> _kv;//保存的数据类型
AVLTreeNode<K, V>* _left;//左孩子结点指针
AVLTreeNode<K, V>* _right;//右孩子结点指针
AVLTreeNode<K, V>* _parent;//双亲结点指针
int _bf;//平衡因子
//初始化
AVLTreeNode(const pair<K, V>& kv)
:_kv(kv),
_left(nullptr),
_right(nullptr),
_parent(nullptr),
_bf(0)
{
}
};
//AVL树结构
template<class K, class V>
class AVLTree
{
typedef AVLTreeNode<K,V> Node;
private:
Node* _root = nullptr;//根节点
public:
//功能实现
//查找结点
Node* Find(const K&key)//查找key
{
Node* cur = _root;
while (cur)
{
if (cur->_kv.first > key)//key在左子树
{
cur = cur->_left;
}
else if (cur->_kv.first < key)//key在右子树
{
cur = cur->_right;
}
else
{
return cur;//相等,返回当前结点
}
}
//没有找到返回空
return nullptr;
}
//插入结点
bool insert(const pair<K, V>& kv)
{
if (_root == nullptr)//不存在根结点
{
//插入结点就是根结点
_root = new Node(kv);
return true;//插入成功
}
//存在根结点——找到应该插入的位置
Node* parent = nullptr;
Node* cur = _root;
while (cur)
{
if (kv.first < cur->_kv.first)//比当前结点小,插入当前结点左子树
{
parent = cur;
cur = cur->_left;
}
else if (kv.first > cur->_kv.first)//比当前结点大,插入当前结点右子树
{
parent = cur;
cur = cur->_right;
}
else//相等就不进行插入,插入失败
{
return false;
}
}
//parent即为插入结点父结点
cur = new Node(kv);
//判断是插入父结点左边还是右边
if (kv.first < parent->_kv.first)
{
parent->_left = cur;
}
else if (kv.first > parent->_kv.first)
{
parent->_right = cur;
}
cur->_parent = parent;
//平衡因子更新
while (parent)
{
//我们实现的AVL树平衡因子的计算公式为:平衡因子 = 右子树高度 - 左子树高度
if (parent->_left == cur)
//插入结点在左子树,父结点平衡因子--
{
parent->_bf--;
}
else if (parent->_right == cur)
//插入结点在右子树,父结点平衡因子++
{
parent->_bf++;
}
//分情况讨论
//1、父结点平衡因子更新为0,不需要继续向上更新
if (parent->_bf == 0)
break;
//2、父结点平衡因子更新为-1或者1,需要继续向上更新
//如果当前父结点为根结点,parent会到空,跳出循环
else if (parent->_bf == -1 || parent->_bf == 1)
{
cur = parent;
parent = parent->_parent;
}
//3、父结点平衡因子更新为-2或者2,已经不平衡需要旋转处理
else if (parent->_bf == -2 || parent->_bf == 2)
{
//旋转处理
//插入在右子树(右边高)——左单旋
if (parent->_bf == 2 && cur->_bf == 1)
{
RotateL(parent);
}
插入在左子树(左边高)——左单旋
else if (parent->_bf == -2 && cur->_bf == -1)
{
RotateR(parent);
}
//parent与cur平衡因子异号需要进行双旋
//左右双旋
else if (parent->_bf == -2 && cur->_bf == 1)
{
RotateLR(parent);
}
//右左双旋
else if (parent->_bf == 2 && cur->_bf == -1)
{
RotateRL(parent);
}
break;
}
//其他情况,说明更新有问题
else
{
assert(false);
}
}
//更新结束
return true;
}
void RotateL(Node* parent)
{
Node* subR = parent->_right;//cur
Node* subRL = subR->_left;//B
//更改指向
subR->_left = parent;
parent->_right = subRL;
//修改变动结点(subR,subRL,parent)的parent
if(subRL)//subRL可能为空
subRL->_parent = parent;
parent->_parent = subR;
//subR可能成为整棵树的根结点,需要进行判断更新subR的parent
Node* parentParent = parent->_parent;
if (parentParent == nullptr)
{
//subR成为整棵树的根结点
_root = subR;
subR->_parent = nullptr;
}
else
{
if (parentParent->_left == parent)//判断原节点是父亲的左/右结点
{
parentParent->_left == subR;
}
else
{
parentParent->_right = subR;
}
//更新subR父结点
subR->_parent = parentParent;
}
//更新平衡因子
parent->_bf = subR->_bf = 0;
}
void RotateR(Node* parent)
{
Node* subL = parent->_left;
Node* subLR = subL->_right;//b
//旋转操作
parent->_left = subLR;
subL->_right = parent;
//更新相应结点parent
if (subLR)//h可能等于0,那么subLR可能为空
subLR->_parent = parent;
Node* parentParent = parent->_parent;//保存父结点的父亲
if (parentParent == nullptr)//说明原来的父结点是根结点
{
_root = subL;
subL->_parent = nullptr;
}
else
{
if (parentParent->_left == parent)//父结点是左孩子
{
parentParent->_left = subL;
}
else
{
//父结点是右孩子
parentParent->_right = subL;
}
subL->_parent = parentParent;
}
parent->_parent = subL;
//更新平衡因子
subL->_bf = parent->_bf = 0;
}
void RotateLR(Node* parent)
{
Node* subL = parent->_left;
Node* subLR = subL->_right;
//根据没有旋转前subLR的平衡因子分情况讨论
int bf = subLR->_bf;
//先以subL为旋转点左旋
RotateL(subL);
//再以parent为旋转点右旋
RotateR(parent);
//每一个结点父结点已经更新,只需要修改平衡因子
if (bf == -1)//插入在e子树
{
subLR->_bf = 0;
subL->_bf = 0;
parent->_bf = 1;
}
else if (bf == 1)//插入在f子树
{
subLR->_bf = 0;
subL->_bf = -1;
parent->_bf = 0;
}
else if (bf == 0)//插入在b子树自己
{
subLR->_bf = 0;
subL->_bf = 0;
parent->_bf = 0;
}
else//其他情况,说明有问题
{
assert(false);
}
}
void RotateRL(Node* parent)
{
Node* subR = parent->_right;
Node* subRL = subR->_left;
//根据没有旋转前subRL的平衡因子分情况讨论
int bf = subRL->_bf;
//先以subR为旋转点右旋
RotateR(subR);
//再以parent为旋转点左旋
RotateL(parent);
//每一个结点父结点已经更新,只需要修改平衡因子
if (bf == -1)//插入在e子树
{
subRL->_bf = 0;
subR->_bf = 1;
parent->_bf = 0;
}
else if (bf == 1)//插入在f子树
{
subRL->_bf = 0;
subR->_bf = 0;
parent->_bf = -1;
}
else if (bf == 0)//插入在b子树自己
{
subRL->_bf = 0;
subR->_bf = 0;
parent->_bf = 0;
}
else//其他情况,说明有问题
{
assert(false);
}
}
};