
昨天无意间,做了一道算法题,优雅的解法又需要用到组合这种数学知识!
这次,我要狠狠攻克它!
既然如此,那就将排列与组合一块打包学习吧。
注意,这里主要是讲解相关思想,具体算法大家可以到 leetcode、牛客、洛谷等算法平台上搜索。

?
举一个生活中,常见的例子。
现在,有3名学生(A、B、C)排队,要站成一排,请问有几种排法?

所以答案就是

,这不就是3的阶乘(3!)吗?
还不理解的,可以看一看图:

在深入探究一点,如果有10名学生,从中选取3名学生,排成一排,请问有几种排法?

所以答案就是

,这不就是10的阶乘除以7的阶乘吗(

)吗?
总结一下,于是假设总人数是n人,挑选m人,不就变成了

也就是

。
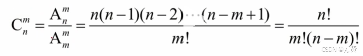
所以可以总结出来

=

。
小结一下: 为了更严谨,咱们正式一些。 排列:一般的,从n个不同的元素中取出m(m<=n)个元素,按一定顺序排成一排,叫做从n个元素中取出m个元素的一种排列。 排列数:一般的,从n个元素中取出m个元素的所有的排列个数,叫做从n个元素中取出m个元素的排列个数。用符合

表示。且

=

。

呢?
就还是那个例子。
现在,有10名学生(A、B、C...),从中选取3名学生,请问有几种选法?
画重点了!本选择方法,不要求有序!
而上方咱们计算时,为

,也就是

而其中一共有

种排序方法(

)
这一相除,不就变成了

这个公式吗,也就是720/6=120种。
排列以后,不就变成了

这个公式吗!
小结一下: 组合:从n个不同的元素中任意挑选m(m<=n)个元素,组成一组,他就是从n个元素中挑选m个元素的一个组合。 组合数:从n个不同的元素中任意挑选m(m<=n)个元素,所有的组合个数,就是从n个元素中挑选m个元素的所有组合数

。
只懂概念,是肯定不行的。来!上题!巩固!
从4名男生、3名女生中,挑选3名代表,求:
没算错吧!哈哈,思路可是这样的
要选取至少一名女生,不就是如下思路
直接法
间接法
那有没有小可爱的思路是这样的呢?
哪为什么不能这样呢,即先选取1个女生,有3种可能,随后在剩下的6个人中,在选取2个人,这种思想错误吗,还是少判断哪里了?
这种思想是错误的,原因在于存在重复计数的情况。 按照你所说的思路,先从3名女生中选1名女生,有C31=3种选法;然后从剩下的6个人(4名男生和2名女生)中选2个人,有C62=2!(6−2)!6!=2×16×5=15种选法。根据分步乘法计数原理,这样得到的选法总数是3×15=45种。 下面举例说明重复计数的情况: 假设3名女生分别为A、B、C,4名男生分别为a、b、c、d。 情况一:先选女生A,然后从剩下6人中选B和a,得到组合{A,B,a}。 情况二:先选女生B,然后从剩下6人中选A和a,得到组合{B,A,a}。 这两种情况实际上是同一个组合{A,B,a},但按照你的方法却被当作两种不同的选法进行了计数。 对于每一个包含2名女生的组合都会出现这样的重复情况,对于包含3名女生的组合,重复的情况会更复杂。所以这种先选1名女生再从剩下6人中选2人的方法不能正确计算至少有一名女生的选法数量。
OK啦,本题的正确答案是,

而第二问方法是同样的,切记,不要将组合&排列搞混喽!
借鉴博客:
1、排列&组合