二叉搜索树又称二叉排序树,它或者是一棵空树,或者是具有以下性质的二叉树:
若它的左子树不为空,则左子树上所有节点的值都小于根节点的值
若它的右子树不为空,则右子树上所有节点的值都大于根节点的值
它的左右子树也分别为二叉搜索树

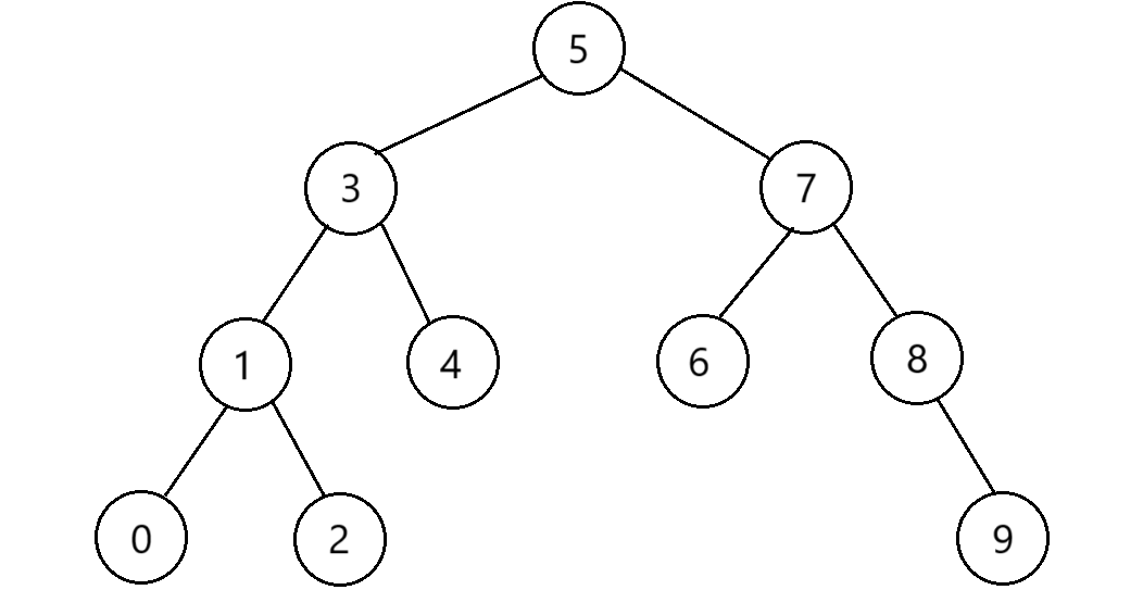
int[] array = {5,3,4,1,7,8,2,6,0,9}

(1)如果树为空树,即根 == null,直接插入

(2)如果树不是空树,按照查找逻辑确定插入位置,插入新结点

设待删除结点为 cur, 待删除结点的双亲结点为 parent
(1)cur.left == null
cur 是 root,则 root = cur.right
cur 不是 root,cur 是 parent.left,则 parent.left = cur.right
cur 不是 root,cur 是 parent.right,则 parent.right = cur.right
(2)cur.right == null
cur 是 root,则 root = cur.left
cur 不是 root,cur 是 parent.left,则 parent.left = cur.left
cur 不是 root,cur 是 parent.right,则 parent.right = cur.left
(3)cur.left != null && cur.right != null
需要使用替换法进行删除,即在它的右子树中寻找中序下的第一个结点(关键码最小),用它的值填补到被删除节点中,再来处理该结点的删除问题
public class BinarySearchTree {
public static class Node {
int key;
Node left;
Node right;
public Node(int key) {
this.key = key;
}
}
private Node root = null;
/**
* 在搜索树中查找 key,如果找到,返回 key 所在的结点,否则返回 null
* @param key
* @return
*/
public Node search(int key) {
Node cur = root;
while (cur != null) {
if (key == cur.key) {
return cur;
} else if (key < cur.key) {
cur = cur.left;
} else {
cur = cur.right;
}
}
return null;
}
/**
* 插入
* @param key
* @return true 表示插入成功, false 表示插入失败
*/
public boolean insert(int key) {
if (root == null) {
root = new Node(key);
return true;
}
Node cur = root;
Node parent = null;
while (cur != null) {
if (key == cur.key) {
return false;
} else if (key < cur.key) {
parent = cur;
cur = cur.left;
} else {
parent = cur;
cur = cur.right;
}
}
Node node = new Node(key);
if (key < parent.key) {
parent.left = node;
} else {
parent.right = node;
}
return true;
}
/**
* 删除成功返回 true,失败返回 false
* @param key
* @return
*/
public boolean remove(int key) {
Node cur = root;
Node parent = null;
while (cur != null) {
if (key == cur.key) {
break;
} else if (key < cur.key) {
parent = cur;
cur = cur.left;
} else {
parent = cur;
cur = cur.right;
}
}
// 该元素不在二叉搜索树中
if(null == cur){
return false;
}
/*
根据cur的孩子是否存在分四种情况
1. cur左右孩子均不存在
2. cur只有左孩子
3. cur只有右孩子
4. cur左右孩子均存在
看起来有四种情况,实际情况1可以与情况2或者3进行合并,只需要处理是那种情况即可
除了情况4之外,其他情况可以直接删除
情况4不能直接删除,需要在其子树中找一个替代节点进行删除
*/
// 请同学们根据上课掌握内容,完成删除的关键部分代码
return true;
}
}插入和删除操作都必须先查找,查找效率代表了二叉搜索树中各个操作的性能。
对有n个结点的二叉搜索树,若每个元素查找的概率相等,则二叉搜索树平均查找长度是结点在二叉搜索树的深度 的函数,即结点越深,则比较次数越多。
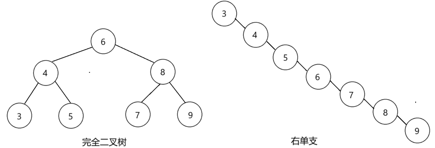
但对于同一个关键码集合,如果各关键码插入的次序不同,可能得到不同结构的二叉搜索树:

最优情况下,二叉搜索树为完全二叉树,其平均比较次数为:logN
最差情况下,二叉搜索树退化为单支树,其平均比较次数为:n/2
问题:如果退化成单支树,二叉搜索树的性能就失去了。那能否进行改进,不论按照什么次序插入关键码,都可以是二叉搜索树的性能最佳?
TreeMap 和 TreeSet 即 java 中利用搜索树实现的 Map 和 Set;实际上用的是红黑树,而红黑树是一棵近似平衡的二叉搜索树,即在二叉搜索树的基础之上 + 颜色以及红黑树性质验证,关于红黑树的内容后序再进行讲解。(这些就可以解决上面的问题!!!)
Map和set是一种专门用来进行搜索的容器或者数据结构,其搜索的效率与其具体的实例化子类有关。以前常见的搜索方式有:
(1)直接遍历,时间复杂度为O(N),元素如果比较多效率会非常慢
(2)二分查找,时间复杂度为,但搜索前必须要求序列是有序的
上述排序比较适合静态类型的查找,即一般不会对区间进行插入和删除操作了,而现实中的查找比如:
(1)根据姓名查询考试成绩
(2)通讯录,即根据姓名查询联系方式
(3)不重复集合,即需要先搜索关键字是否已经在集合中
可能在查找时进行一些插入和删除的操作,即动态查找,那上述两种方式就不太适合了,本节介绍的Map和Set是一种适合动态查找的集合容器。
一般把搜索的数据称为关键字(Key),和关键字对应的称为值(Value),将其称之为Key-value的键值对,所以模型会有两种:
(1)纯 key 模型,比如:
有一个英文词典,快速查找一个单词是否在词典中
快速查找某个名字在不在通讯录中
(2)Key-Value 模型,比如:
统计文件中每个单词出现的次数,统计结果是每个单词都有与其对应的次数:<单词,单词出现的次数>
梁山好汉的江湖绰号:每个好汉都有自己的江湖绰号
而Map中存储的就是key-value的键值对,Set中只存储了Key。

https://docs.oracle.com/javase/8/docs/api/java/util/Map.html

Map是一个接口类,该类没有继承自Collection,该类中存储的是结构的键值对,并且K一定是唯一的,不能重复。
Map.Entry<K,V> 是Map内部实现的用来存放键值对映射关系的内部类,该内部类中主要提供了的获取,value的设置以及Key的比较方式。

#注:Map.Entry<K,V>并没有提供设置Key的方法

#注:
(1)Map是一个接口,不能直接实例化对象,如果要实例化对象只能实例化其实现类TreeMap或者HashMap
(2)Map中存放键值对的Key是唯一的,value是可以重复的
(3)在TreeMap中插入键值对时,key不能为空,否则就会抛NullPointerException异常,value可以为空。但是HashMap的key和value都可以为空。
(4)Map中的Key可以全部分离出来,存储到Set中来进行访问(因为Key不能重复)。
(5)Map中的value可以全部分离出来,存储在Collection的任何一个子集合中(value可能有重复)。
(6)Map中键值对的Key不能直接修改,value可以修改,如果要修改key,只能先将该key删除掉,然后再来进行重新插入。
(7)TreeMap和HashMap的区别【HashMap我们在最后会讲到】

import java.util.TreeMap;
import java.util.Map;
public static void TestMap(){
Map<String, String> m = new TreeMap<>();
// put(key, value):插入key-value的键值对
// 如果key不存在,会将key-value的键值对插入到map中,返回null
m.put("林冲", "豹子头");
m.put("鲁智深", "花和尚");
m.put("武松", "行者");
m.put("宋江", "及时雨");
String str = m.put("李逵", "黑旋风");
System.out.println(m.size());
System.out.println(m);
// put(key,value): 注意key不能为空,但是value可以为空
// key如果为空,会抛出空指针异常
//m.put(null, "花名");
str = m.put("无名", null);
System.out.println(m.size());
// put(key, value):
// 如果key存在,会使用value替换原来key所对应的value,返回旧value
str = m.put("李逵", "铁牛");
// get(key): 返回key所对应的value
// 如果key存在,返回key所对应的value
// 如果key不存在,返回null
System.out.println(m.get("鲁智深"));
System.out.println(m.get("史进"));
//GetOrDefault(): 如果key存在,返回与key所对应的value,如果key不存在,返回一个默认值
System.out.println(m.getOrDefault("李逵", "铁牛"));
System.out.println(m.getOrDefault("史进", "九纹龙"));
System.out.println(m.size());
//containKey(key):检测key是否包含在Map中,时间复杂度:O(logN)
// 按照红黑树的性质来进行查找
// 找到返回true,否则返回false
System.out.println(m.containsKey("林冲"));
System.out.println(m.containsKey("史进"));
// containValue(value): 检测value是否包含在Map中,时间复杂度: O(N)
// 找到返回true,否则返回false
System.out.println(m.containsValue("豹子头"));
System.out.println(m.containsValue("九纹龙"));
// 打印所有的key
// keySet是将map中的key防止在Set中返回的
for(String s : m.keySet()){
System.out.print(s + " ");
}
System.out.println();
// 打印所有的value
// values()是将map中的value放在collect的一个集合中返回的
for(String s : m.values()){
System.out.print(s + " ");
}
System.out.println();
// 打印所有的键值对
// entrySet(): 将Map中的键值对放在Set中返回了
for(Map.Entry<String, String> entry : m.entrySet()){
System.out.println(entry.getKey() + "--->" + entry.getValue());
}
System.out.println();
}由于内容较多,会分为多篇讲解,预知后续内容,请看后续博客!!!