由于map和set的底层是红黑树,同时后面要讲的AVL树(高度平衡二叉搜索树),为了方便理解,我们先来讲解二叉搜索树,因为红黑树和AVL树都是在二叉搜索树的前提下实现的
在之前的C语言数据结构章节中,我们讲过二叉树,这次就来认识一下二叉搜索树
二叉搜索树又称二叉排序树,它或者是一棵空树,或者是具有以下性质的二叉树:
• 若它的左子树不为空,则左子树上所有结点的值都小于等于根结点的值 • 若它的右子树不为空,则右子树上所有结点的值都大于等于根结点的值 • 它的左右子树也分别为二叉搜索树 • 二叉搜索树中可以支持插入相等的值,也可以不支持插入相等的值,具体看使用场景定义,后续我们学习map/set/multimap/multiset系列容器底层就是二叉搜索树,其中map/set不支持插入相等值,multimap/multiset支持插入相等值

最优情况下,二叉搜索树为完全二叉树(或者接近完全二叉树),其高度为: log2 N
最差情况下,二叉搜索树退化为单支树(或者类似单支),其高度为: N
所以综合而言二叉搜索树增删查改时间复杂度为: O(N)
那么这样的效率显然是无法满足我们需求的,我们后续章节需要继续讲解二叉搜索树的变形,平衡二叉搜索树AVL树和红黑树,才能适用于我们在内存中存储和搜索数据。
另外需要说明的是,二分查找也可以实现 O(log2 N) 级别的查找效率,但是二分查找有两大缺陷:
1. 需要存储在支持下标随机访问的结构中,并且有序。 2. 插入和删除数据效率很低,因为存储在下标随机访问的结构中,插入和删除数据一般需要挪动数据。
这里也就体现出了平衡二叉搜索树的价值

template<class K>
struct BSTreeNode
{
BSTreeNode(const K& key)
:_key(key)
,_left(nullptr)
,_right(nullptr)
{}
K _key;
BSTreeNode<K>* _left;
BSTreeNode<K>* _right;
};
template<class K>
class BSTree
{
//typedef BSTreeNode<K> Node;
using Node = BSTreeNode<K>;
public:
private:
Node* _root = nullptr;
};首先我们要管理每个节点的数据以及它的左右孩子,所以我们先封装一个树节点类,用来管理节点的数据和左右孩子,其次我们要把每个树节点统一管理,所以还需要再封装一个树类,用来管理所有节点。
BSTreeNode:
这里我们模板参数使用K(表示key的意思),模板参数并不是只能是T
和之前list一样,只需要写构造,原因如下:
I. 节点类的核心需求
二叉搜索树的节点通常需要强制初始化关键值(如节点的值 val),并将子节点指针(left 和 right)初始化为空。
通过定义带参数的构造函数,可以确保:
nullptr,避免野指针问题。
II. C++ 构造函数规则
III. 为什么其他构造函数可以不写?
int 和指针),默认生成的移动操作已足够。
BSTree:
我们先将BSTreeNode<K>类型typedef一下(类型太长了不好写),但是我们这里使用using,在现阶段using和typedef功能是一样的,具体差异后面章节会讲,不过using取别名的用法有点不一样;由于我们要管理树,将所有节点联系起来,所以我们可以提供一个指向根节点的指针_root作为成员变量,方便我们管理
插入的具体过程如下:
1. 树为空,则直接新增结点,赋值给root指针
2. 树不空,按二叉搜索树性质,插入值比当前结点大往右走,插入值比当前结点小往左走,找到空位置,插入新结点。
3. 如果支持插入相等的值,插入值跟当前结点相等的值可以往右走,也可以往左走,找到空位置,插入新结点。(要注意的是要保持逻辑一致性,插入相等的值不要一会往右走,一会往左走)
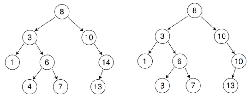
int a[] = {8, 3, 1, 10, 6, 4, 7, 14, 13};
以这组数据为例来画图演示一下:

插入不相等的值

插入相等的值

代码实现:
代码实现分别可以用递归和非递归两种方法来实现,这里我们采用非递归,递归太深的情况会栈溢出,同时我们这里默认不允许插入相等的值。
第一步:处理空树的特殊情况
若树为空(_root == nullptr),直接创建根节点并初始化值为 key,返回 true 表示插入成功。
if (_root == nullptr) {
_root = new Node(key);
return true;
}第二步:查找插入位置
初始化指针:
parent 记录当前节点的父节点(初始为 nullptr)。
cur 从根节点 _root 开始遍历。
Node* parent = nullptr;
Node* cur = _root;循环遍历树:
key 大于当前节点的值,向右子树移动。
key 小于当前节点的值,向左子树移动。
key 已存在),返回 false 表示插入失败。
while (cur) {
if (cur->_key < key) {
parent = cur;
cur = cur->_right;
} else if (cur->_key > key) {
parent = cur;
cur = cur->_left;
} else {
return false; // 重复值,插入失败
}
}第三步:创建新节点并链接到父节点
创建新节点:
循环结束后,cur 指向 nullptr,此时 parent 是待插入位置的父节点。创建新节点 cur。
cur = new Node(key);确定插入方向:
根据 key 与父节点值的比较结果,将新节点链接为父节点的左子节点或右子节点。
if (parent->_key < key) {
parent->_right = cur; // 插入右子树
} else {
parent->_left = cur; // 插入左子树
}代码如下:
bool Insert(const K& key)
{
if (_root == nullptr)
{
_root = new Node(key);
return true;
}
Node* parent = nullptr;
Node* cur = _root;
while (cur)
{
if (cur->_key < key)
{
parent = cur;
cur = cur->_right;
}
else if (cur->_key > key)
{
parent = cur;
cur = cur->_left;
}
else
{
return false;
}
}
cur = new Node(key);
if (parent->_key < key)
{
parent->_right = cur;
}
else
{
parent->_left = cur;
}
return true;
}如果想要允许插入相等的值,只需要在第二步插入位置时,判断条件修改一下为cur->_key <= key或者cur->_key >= key,然后去掉else语句——遇到重复值(key 已存在),返回 false 表示插入失败。
这里我们采用中序遍历的方式,将数据打印出来
void InOrder(Node* root)
{
if (root == nullptr) return;
InOrder(root->_left);
cout << root->_key << " ";
InOrder(root->_right);
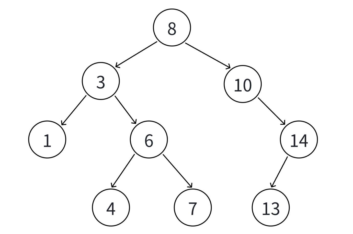
}使用上面图示数据模拟:
void Test()
{
int a[] = { 8,3,1,10,6,4,7,14,13 };
BSTree<int> t;
for (auto x : a)
{
t.Insert(x);
}
t.InOrder(_root);
}显然这么写是错的,编译一下可以看到

我们知道_root是私有成员变量,在类外我们是访问不了的,但是我们中序遍历需要传根节点指针,那应该怎么办呢?
我们可以实现一个类外可以访问的访问根节点的成员函数GetRoot(),但是这么写不太好,我们可以这么写
public:
void InOrder()
{
_InOrder(_root);
cout << endl;
}
private:
void _InOrder(Node* root)
{
if (root == nullptr) return;
_InOrder(root->_left);
cout << root->_key << " ";
_InOrder(root->_right);
}我们直接将中序遍历私有,然后在公有下把中序遍历封装在另一个函数中,这样我们就可以在类外无参的使用中序遍历
运行结果:

1. 从根开始比较,查找x,x比根的值大则往右边走查找,x比根值小则往左边走查找。
2. 最多查找高度次,走到空,还没找到,这个值不存在。
3. 如果不支持插入相等的值,找到x即可返回
4. 如果支持插入相等的值,意味着有多个x存在,一般要求查找中序的第一个x。如下图,查找3,要找到1的右孩子的那个3返回

代码实现:
查找非常简单,和插入的思路一样
bool Find(const K& key)
{
Node* cur = _root;
while (cur)
{
if (cur->_key < key)
{
cur = cur->_right;
}
else if (cur->_key > key)
{
cur = cur->_left;
}
else
{
return true;//找到了
}
}
//没找到
return false;
}首先查找元素是否在二叉搜索树中,如果不存在,则返回false。
如果查找元素存在则分以下四种情况分别处理:(假设要删除的结点为N)
1. 要删除的结点N左右孩子均为空 2. 要删除的结点N左孩子为空,右孩子结点不为空 3. 要删除的结点N右孩子为空,左孩子结点不为空 4. 要删除的结点N左右孩子结点均不为空
对应以上四种情况的解决方案:
1. 把N结点的父亲对应孩子指针指向空,直接删除N结点(情况1可以当成2或者3处理,效果是一样的) 2. 把N结点的父亲对应孩子指针指向N的右孩子,直接删除N结点 3. 把N结点的父亲对应孩子指针指向N的左孩子,直接删除N结点 4. 无法直接删除N结点,因为N的两个孩子无处安放,只能用替换法删除。找N左子树的值最大结点R(最右结点)或者N右子树的值最小结点R(最左结点)替代N,因为这两个结点中任意一个,放到N的位置,都满足二叉搜索树的规则。替代N的意思就是N和R的两个结点的值交换,转而变成删除R结点,R结点符合情况2或情况3,可以直接删除。



代码实现:
第1步. 查找待删除节点
初始化指针:
parent 记录当前节点的父节点(初始为 nullptr),cur 从根节点 _root 开始遍历。
遍历搜索:
根据 key 与当前节点值的比较,向左或向右子树移动,直到找到目标节点或遍历结束。
while (cur) {
if (cur->_key < key) { ... } // 向右子树移动
else if (cur->_key > key) { ... } // 向左子树移动
else { ... } // 找到目标节点,进入删除逻辑
}未找到处理:
若遍历结束未找到 key,返回 false 表示删除失败。
第2步. 根据子节点情况删除节点
(1) 左子节点为空(或右子节点为空)
直接替换:
cur->_right 替代当前节点。
cur->_left 替代当前节点。
处理根节点:
若删除的是根节点(cur == _root),直接更新 _root 为对应的子节点。
链接父节点:
根据 cur 是父节点的左/右子节点,更新父节点的指针指向 cur 的子节点。
// 左子节点为空的情况
if (cur->_left == nullptr) {
if (cur == _root) {
_root = cur->_right; // 更新根节点
} else {
if (parent->_right == cur) {
parent->_right = cur->_right;
} else {
parent->_left = cur->_right;
}
}
delete cur;
}(2) 左右子节点均存在
替换法删除:
cur->_right 出发,循环找到最左侧节点 replace(即右子树的最小节点)。
replace->_key 赋值给 cur->_key。
replace 是其父节点的左子节点,将父节点的左指针指向 replace 的右子节点。
replace 是其父节点的右子节点(即右子树没有左子节点),将父节点的右指针指向 replace 的右子节点。
replace 节点。
else {
// 找右子树的最小节点
Node* replaceParent = cur;
Node* replace = cur->_right;
while (replace->_left) {
replaceParent = replace;
replace = replace->_left;
}
// 替换值
cur->_key = replace->_key;
// 删除替换节点
if (replace == replaceParent->_left) {
replaceParent->_left = replace->_right;
} else {
replaceParent->_right = replace->_right;
}
delete replace;
}第3步. 返回结果
true。
false。
总结步骤
代码如下:
bool Erase(const K& key)
{
Node* parent = nullptr;
Node* cur = _root;
while (cur)
{
if (cur->_key < key)
{
parent = cur;
cur = cur->_right;
}
else if (cur->_key > key)
{
parent = cur;
cur = cur->_left;
}
else
{
// 找到了删除
if (cur->_left == nullptr) // 左孩子为空
{
if (cur == _root)
{
_root = cur->_right;
}
else
{
if (parent->_right == cur)
{
// 此时cur->_key > parent->_key
parent->_right = cur->_right;
}
else //parent->_left == cur
{
// 此时cur->_key < parent->_key
parent->_left = cur->_right;
}
}
delete cur;
}
else if (cur->_right == nullptr) // 右孩子为空
{
if (cur == _root)
{
_root = cur->_left;
}
else
{
if (parent->_right == cur)
{
// 此时cur->_key > parent->_key
parent->_right = cur->_left;
}
else //parent->_left == cur
{
// 此时cur->_key < parent->_key
parent->_left = cur->_left;
}
}
delete cur;
}
else // 两个孩子都不为空
{
// 替换法删除节点——右子树最小节点替换
Node* replaceParent = cur;// 要考虑删除根节点时,不能置为nullptr
Node* replace = cur->_right;
while (replace->_left)
{
replaceParent = replace;
replace = replace->_left;
}
cur->_key = replace->_key;
if (replace == replaceParent->_left)
{
replaceParent->_left = replace->_right;
}
else //replace == replaceParent->_right
{
// 此时第一个右孩子就是右子树最小节点
replaceParent->_right = replace->_right;
}
delete replace;
}
//成功删除
return true;
}
}
//没找到,删除失败
return false;
}只有key作为关键码,结构中只需要存储key即可,关键码即为需要搜索到的值,搜索场景只需要判断key在不在。key的搜索场景实现的二叉树搜索树支持增删查,但是不支持修改,修改key破坏搜索树结构了。
场景1:小区无人值守车库,小区车库买了车位的业主车才能进小区,那么物业会把买了车位的业主的车牌号录入后台系统,车辆进入时扫描车牌在不在系统中,在则抬杆,不在则提示非本小区车辆,无法进入。
场景2:检查一篇英文章单词拼写是否正确,将词库中所有单词放入二叉搜索树,读取文章中的单 词,查找是否在二叉搜索树中,不在则波浪线标红提示

每一个关键码key,都有与之对应的值value,即<key, value>,value可以是任意类型对象。树的结构中(结点)除了需要存储key还要存储对应的value,增/删/查还是以key为关键字走二叉搜索树的规则进行比较,可以快速查找到key对应的value。key/value的搜索场景实现的二叉树搜索树支持修改,但是不支持修改key,修改key破坏搜索树性质了,可以修改value。
特性 | 键(Key) | 值(Value) |
|---|---|---|
唯一性 | 必须唯一 | 可以重复 |
作用 | 快速定位数据 | 存储实际数据 |
约束 | 必须可比较或可哈希 | 无特殊约束(类型灵活) |
修改性 | 通常不可修改(需删除后重新插入) | 可直接修改 |
场景1:简单中英互译字典,树的结构中(结点)存储key(英文)和vlaue(中文),搜索时输入英文,则同时查找到了英文对应的中文。
场景2:商场五日值守车库,入口进场时扫描车牌,记录车牌和入场时间,出口离场时,扫描车牌,查找入场时间,用当前时间-入场时间计算出停车时长,计算出停车费用,缴费后抬杆,车辆离场。
场景3:统计一篇文章中单词出现的次数,读取一个单词,查找单词是否存在,不存在这个单词说明第一次出现,(单词,1),单词存在,则++单词对应的次数。
代码实现:
我们只需要在之前二叉搜索树的增删查代码的基础上简单修改即可,增加一个模板参数V,此时我们节点中存储的数据就是键值对<key, value>,所以在树节点类中需要新增一个V类型的成员变量,同时构造函数中也需要增加一个V类型的形参
Insert: 只需增加一个V类型的形参,因为在插入新的树节点时,要new一个<key, value>类型的树节点,其余操作不需要改变
Find:只需要查找键,修改返回值,我们返回树节点,就可以通过树节点得到里面的值
Erase:不需要修改
namespace key_value
{
template<class K, class V>
struct BSTreeNode
{
BSTreeNode(const K& key, const V& value)
:_key(key)
,_value(value)
, _left(nullptr)
, _right(nullptr)
{}
// 不写默认构造函数、拷贝构造函数等
// 编译器会自动禁用默认构造函数(因为用户已定义其他构造函数)
// 若需要禁用拷贝,可显式删除
K _key;
V _value;
BSTreeNode<K, V>* _left;
BSTreeNode<K, V>* _right;
};
template<class K, class V>
class BSTree
{
//typedef BSTreeNode<K> Node;
using Node = BSTreeNode<K, V>;
public:
bool Insert(const K& key, const V& value)
{
if (_root == nullptr)
{
_root = new Node(key, value);
return true;
}
Node* parent = nullptr;
Node* cur = _root;
while (cur)
{
if (cur->_key < key)
{
parent = cur;
cur = cur->_right;
}
else if (cur->_key > key)
{
parent = cur;
cur = cur->_left;
}
else
{
return false; //重复值插入失败
}
}
cur = new Node(key, value);
if (parent->_key < key)
{
parent->_right = cur;
}
else
{
parent->_left = cur;
}
return true;
}
Node* Find(const K& key)
{
Node* cur = _root;
while (cur)
{
if (cur->_key < key)
{
cur = cur->_right;
}
else if (cur->_key > key)
{
cur = cur->_left;
}
else
{
return cur;//找到了
}
}
//没找到
return nullptr;
}
bool Erase(const K& key)
{
Node* parent = nullptr;
Node* cur = _root;
while (cur)
{
if (cur->_key < key)
{
parent = cur;
cur = cur->_right;
}
else if (cur->_key > key)
{
parent = cur;
cur = cur->_left;
}
else
{
// 找到了删除
if (cur->_left == nullptr) // 左孩子为空
{
if (cur == _root)
{
_root = cur->_right;
}
else
{
if (parent->_right == cur)
{
// 此时cur->_key > parent->_key
parent->_right = cur->_right;
}
else //parent->_left == cur
{
// 此时cur->_key < parent->_key
parent->_left = cur->_right;
}
}
delete cur;
}
else if (cur->_right == nullptr) // 右孩子为空
{
if (cur == _root)
{
_root = cur->_left;
}
else
{
if (parent->_right == cur)
{
// 此时cur->_key > parent->_key
parent->_right = cur->_left;
}
else //parent->_left == cur
{
// 此时cur->_key < parent->_key
parent->_left = cur->_left;
}
}
delete cur;
}
else // 两个孩子都不为空
{
// 替换法删除节点——右子树最小节点替换
Node* replaceParent = cur;// 要考虑删除根节点时,不能置为nullptr
Node* replace = cur->_right;
while (replace->_left)
{
replaceParent = replace;
replace = replace->_left;
}
cur->_key = replace->_key;
if (replace == replaceParent->_left)
{
replaceParent->_left = replace->_right;
}
else //replace == replaceParent->_right
{
// 此时第一个右孩子就是右子树最小节点
replaceParent->_right = replace->_right;
}
delete replace;
}
//成功删除
return true;
}
}
//没找到,删除失败
return false;
}
void InOrder()
{
_InOrder(_root);
cout << endl;
}
private:
void _InOrder(Node* root)
{
if (root == nullptr) return;
_InOrder(root->_left);
cout << root->_key << ":" << root->_value << endl;
_InOrder(root->_right);
}
private:
Node* _root = nullptr;
};
}我们这里还要显式实现一下拷贝构造和析构,因为这里需要深拷贝资源,且在析构时要把每个new出来的树节点都要释放掉。
通过调用 Copy(t._root),复制原树 t 的根节点,并将新树的根节点 _root 指向复制后的根节点。
因为拷贝构造没有返回值,独立函数 Copy 将递归逻辑封装为一个“黑盒”,只需关注输入(原树的根节点)和输出(新树的根节点),同时:
Copy 函数通常设为私有,因为它是类内部的实现细节,外部无需知道如何复制一棵树。
BSTree(const BSTree& t)
{
_root = Copy(t._root);
}
private:
Node* Copy(Node* root)
{
if (root == nullptr) return nullptr;
Node* newNode = new Node(root->_key, root->_value);
newNode->_left = Copy(root->_left);
newNode->_right = Copy(root->_right);
return newNode;
}当我们自己显式定义了拷贝构造函数时,编译器就不会自动生成默认的无参构造函数
这样的话我们的根节点_root就不能实现初始化了,所以我们这里可以手动实现,也可以强制编译器生成默认构造
手动实现:
BSTree() {}强制编译器生成:
BSTree() = default;//C++11起BSTree& operator=(BSTree tmp)
{
swap(tmp._root, _root);
return *this;
}这里直接使用现代写法来实现
~BSTree()
{
Destroy(_root);
_root = nullptr;
}
private:
void Destroy(Node* root)
{
if (root == nullptr) return;
Destroy(root->_left);
Destroy(root->_right);
delete root;
}这里和拷贝构造一样,封装一个Destroy()函数,递归销毁每个树节点
void test1()
{
BSTree<string, string> dict;
dict.Insert("left", "左边");
dict.Insert("right", "右边");
dict.Insert("insert", "插入");
dict.Insert("string", "字符串");
string str;
while (cin >> str)
{
auto ret = dict.Find(str);
if (ret)
{
cout << "->" << ret->_value << endl;
}
else
{
cout << "无此单词,请重新输入" << endl;
}
}
}运行结果:

void test2()
{
string arr[] = { "苹果", "西瓜", "苹果", "西瓜", "苹果", "苹果", "西瓜", "苹果", "香蕉", "苹果", "香蕉" };
BSTree<string, int> countTree;
for (const auto& str : arr)
{
// 先查找水果在不在搜索树中
// 1、不在,说明水果第一次出现,则插入<水果, 1>
// 2、在,则查找到的结点中水果对应的次数++
//BSTreeNode<string, int>* ret = countTree.Find(str);
auto ret = countTree.Find(str);
if (ret == NULL)
{
countTree.Insert(str, 1);
}
else
{
ret->_value++;
}
}
countTree.InOrder();
}运行结果:

namespace key
{
template<class K>
struct BSTreeNode
{
BSTreeNode(const K& key)
:_key(key)
, _left(nullptr)
, _right(nullptr)
{}
// 不写默认构造函数、拷贝构造函数等
// 编译器会自动禁用默认构造函数(因为用户已定义其他构造函数)
// 若需要禁用拷贝,可显式删除:
// BSTreeNode(const BSTreeNode<K>&) = delete;
// BSTreeNode& operator=(const BSTreeNode<K>&) = delete;
K _key;
BSTreeNode<K>* _left;
BSTreeNode<K>* _right;
};
template<class K>
class BSTree
{
//typedef BSTreeNode<K> Node;
using Node = BSTreeNode<K>;
public:
bool Insert(const K& key)
{
if (_root == nullptr)
{
_root = new Node(key);
return true;
}
Node* parent = nullptr;
Node* cur = _root;
while (cur)
{
if (cur->_key < key)
{
parent = cur;
cur = cur->_right;
}
else if (cur->_key > key)
{
parent = cur;
cur = cur->_left;
}
else
{
return false; //重复值插入失败
}
}
cur = new Node(key);
if (parent->_key < key)
{
parent->_right = cur;
}
else
{
parent->_left = cur;
}
return true;
}
bool Find(const K& key)
{
Node* cur = _root;
while (cur)
{
if (cur->_key < key)
{
cur = cur->_right;
}
else if (cur->_key > key)
{
cur = cur->_left;
}
else
{
return true;//找到了
}
}
//没找到
return false;
}
bool Erase(const K& key)
{
Node* parent = nullptr;
Node* cur = _root;
while (cur)
{
if (cur->_key < key)
{
parent = cur;
cur = cur->_right;
}
else if (cur->_key > key)
{
parent = cur;
cur = cur->_left;
}
else
{
// 找到了删除
if (cur->_left == nullptr) // 左孩子为空
{
if (cur == _root)
{
_root = cur->_right;
}
else
{
if (parent->_right == cur)
{
// 此时cur->_key > parent->_key
parent->_right = cur->_right;
}
else //parent->_left == cur
{
// 此时cur->_key < parent->_key
parent->_left = cur->_right;
}
}
delete cur;
}
else if (cur->_right == nullptr) // 右孩子为空
{
if (cur == _root)
{
_root = cur->_left;
}
else
{
if (parent->_right == cur)
{
// 此时cur->_key > parent->_key
parent->_right = cur->_left;
}
else //parent->_left == cur
{
// 此时cur->_key < parent->_key
parent->_left = cur->_left;
}
}
delete cur;
}
else // 两个孩子都不为空
{
// 替换法删除节点——右子树最小节点替换
Node* replaceParent = cur;// 要考虑删除根节点时,不能置为nullptr
Node* replace = cur->_right;
while (replace->_left)
{
replaceParent = replace;
replace = replace->_left;
}
cur->_key = replace->_key;
if (replace == replaceParent->_left)
{
replaceParent->_left = replace->_right;
}
else //replace == replaceParent->_right
{
// 此时第一个右孩子就是右子树最小节点
replaceParent->_right = replace->_right;
}
delete replace;
}
//成功删除
return true;
}
}
//没找到,删除失败
return false;
}
void InOrder()
{
_InOrder(_root);
cout << endl;
}
private:
void _InOrder(Node* root)
{
if (root == nullptr) return;
_InOrder(root->_left);
cout << root->_key << " ";
_InOrder(root->_right);
}
private:
Node* _root = nullptr;
};
void Test()
{
int a[] = { 8,3,1,10,6,4,7,14,13 };
BSTree<int> t;
for (auto x : a)
{
t.Insert(x);
}
t.InOrder();
for (auto x : a)
{
t.Erase(x);
t.InOrder();
}
}
}
namespace key_value
{
template<class K, class V>
struct BSTreeNode
{
BSTreeNode(const K& key, const V& value)
:_key(key)
,_value(value)
, _left(nullptr)
, _right(nullptr)
{}
// 不写默认构造函数、拷贝构造函数等
// 编译器会自动禁用默认构造函数(因为用户已定义其他构造函数)
// 若需要禁用拷贝,可显式删除
K _key;
V _value;
BSTreeNode<K, V>* _left;
BSTreeNode<K, V>* _right;
};
template<class K, class V>
class BSTree
{
//typedef BSTreeNode<K> Node;
using Node = BSTreeNode<K, V>;
public:
//BSTree() {}
BSTree() = default;//C++11起
BSTree(const BSTree& t)
{
_root = Copy(t._root);
}
BSTree& operator=(BSTree tmp)
{
swap(tmp._root, _root);
return *this;
}
~BSTree()
{
Destroy(_root);
_root = nullptr;
}
bool Insert(const K& key, const V& value)
{
if (_root == nullptr)
{
_root = new Node(key, value);
return true;
}
Node* parent = nullptr;
Node* cur = _root;
while (cur)
{
if (cur->_key < key)
{
parent = cur;
cur = cur->_right;
}
else if (cur->_key > key)
{
parent = cur;
cur = cur->_left;
}
else
{
return false; //重复值插入失败
}
}
cur = new Node(key, value);
if (parent->_key < key)
{
parent->_right = cur;
}
else
{
parent->_left = cur;
}
return true;
}
Node* Find(const K& key)
{
Node* cur = _root;
while (cur)
{
if (cur->_key < key)
{
cur = cur->_right;
}
else if (cur->_key > key)
{
cur = cur->_left;
}
else
{
return cur;//找到了
}
}
//没找到
return nullptr;
}
bool Erase(const K& key)
{
Node* parent = nullptr;
Node* cur = _root;
while (cur)
{
if (cur->_key < key)
{
parent = cur;
cur = cur->_right;
}
else if (cur->_key > key)
{
parent = cur;
cur = cur->_left;
}
else
{
// 找到了删除
if (cur->_left == nullptr) // 左孩子为空
{
if (cur == _root)
{
_root = cur->_right;
}
else
{
if (parent->_right == cur)
{
// 此时cur->_key > parent->_key
parent->_right = cur->_right;
}
else //parent->_left == cur
{
// 此时cur->_key < parent->_key
parent->_left = cur->_right;
}
}
delete cur;
}
else if (cur->_right == nullptr) // 右孩子为空
{
if (cur == _root)
{
_root = cur->_left;
}
else
{
if (parent->_right == cur)
{
// 此时cur->_key > parent->_key
parent->_right = cur->_left;
}
else //parent->_left == cur
{
// 此时cur->_key < parent->_key
parent->_left = cur->_left;
}
}
delete cur;
}
else // 两个孩子都不为空
{
// 替换法删除节点——右子树最小节点替换
Node* replaceParent = cur;// 要考虑删除根节点时,不能置为nullptr
Node* replace = cur->_right;
while (replace->_left)
{
replaceParent = replace;
replace = replace->_left;
}
cur->_key = replace->_key;
if (replace == replaceParent->_left)
{
replaceParent->_left = replace->_right;
}
else //replace == replaceParent->_right
{
// 此时第一个右孩子就是右子树最小节点
replaceParent->_right = replace->_right;
}
delete replace;
}
//成功删除
return true;
}
}
//没找到,删除失败
return false;
}
void InOrder()
{
_InOrder(_root);
cout << endl;
}
private:
void Destroy(Node* root)
{
if (root == nullptr) return;
Destroy(root->_left);
Destroy(root->_right);
delete root;
}
Node* Copy(Node* root)
{
if (root == nullptr) return nullptr;
Node* newNode = new Node(root->_key, root->_value);
newNode->_left = Copy(root->_left);
newNode->_right = Copy(root->_right);
return newNode;
}
void _InOrder(Node* root)
{
if (root == nullptr) return;
_InOrder(root->_left);
cout << root->_key << ":" << root->_value << endl;
_InOrder(root->_right);
}
private:
Node* _root = nullptr;
};
void test1()
{
BSTree<string, string> dict;
dict.Insert("left", "左边");
dict.Insert("right", "右边");
dict.Insert("insert", "插入");
dict.Insert("string", "字符串");
string str;
while (cin >> str)
{
auto ret = dict.Find(str);
if (ret)
{
cout << "->" << ret->_value << endl;
}
else
{
cout << "无此单词,请重新输入" << endl;
}
}
}
void test2()
{
string arr[] = { "苹果", "西瓜", "苹果", "西瓜", "苹果", "苹果", "西瓜", "苹果", "香蕉", "苹果", "香蕉" };
BSTree<string, int> countTree;
for (const auto& str : arr)
{
// 先查找水果在不在搜索树中
// 1、不在,说明水果第一次出现,则插入<水果, 1>
// 2、在,则查找到的结点中水果对应的次数++
//BSTreeNode<string, int>* ret = countTree.Find(str);
auto ret = countTree.Find(str);
if (ret == NULL)
{
countTree.Insert(str, 1);
}
else
{
ret->_value++;
}
}
countTree.InOrder();
}
}