

✨前言:二叉搜索树(Binary Search Tree, BST)是一种基础且高效的数据结构,用于实现快速的查找、插入和删除操作。它通过在节点间保持有序关系,使得数据的组织更加灵活高效。本文将从概念出发,结合示意图与完整代码,带你深入理解二叉搜索树的构建原理与应用场景。 📖专栏:【数据结构】
二叉搜索树又称二叉排序树,它或者是一棵空树,或者是具有以下性质的二叉树:

最差情况 :- 二叉搜索树退化为单支树(或类似单支) 其高度为:
综合时间复杂度:二叉搜索树增删查改时间复杂度为:

平衡二叉搜索树 AVL 树 红黑树 这些数据结构才能适用于我们在内存中存储和搜索数据的需求。
二分查找也可以实现
级别的查找效率,但是有两大缺陷:
这里就体现出了平衡二叉搜索树的价值——它既保持了二叉搜索树的动态操作优势,又通过平衡机制保证了 O(\log N) 的操作效率。 在此基础上,我们就可以对二叉搜索树的框架进行代码描述了,二叉搜索树本质还是一颗二叉树嘛:
//结点类型
struct BSTreeNode
{
K _key;
BSTreeNode<K>* _leftchild = nullptr;
BSTreeNode<K>* _rightchild = nullptr;
BSTreeNode(const K& key)
:_key(key)
{}
};
//主框架
template<class K>
class BSTree
{
typedef BSTreeNode<K> Node;
public:
private:
Node* _root = nullptr;
};对于插入,还是较为简单的,插入的具体过程如下:
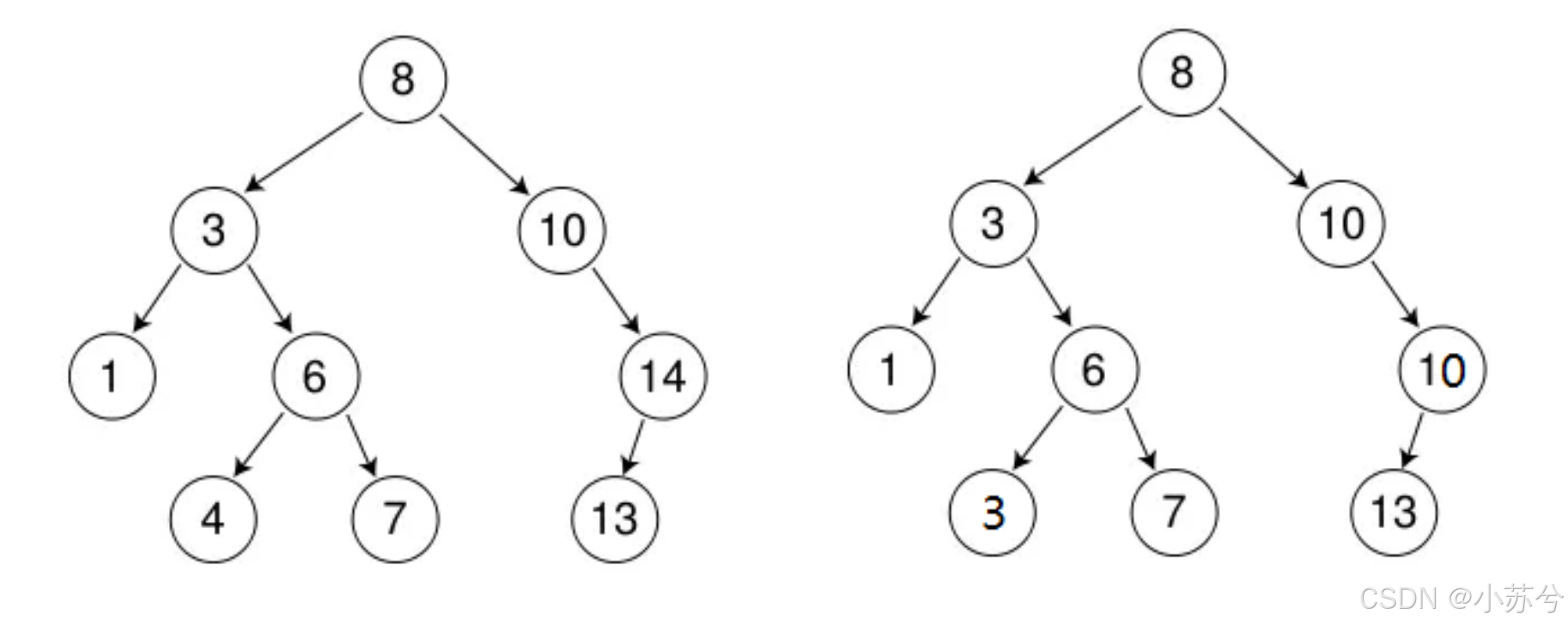
来模拟一下吧:
int a[] = {8, 3, 1, 10, 6, 4, 7, 14, 13};


插入就是与根节点比较,然后再与子树的根节点比较……依次比较,最后“没得比了”就确定位置呗。 ok,下面我们基于上面的代码框架完成插入的代码,为了方便一点,我们就不再写二叉树的主框架,直接完成我们现在说的函数就行,后面同理。
bool Insert(const K& key)
{
if (_root == nullptr)
_root = new Node(key);
Node* cur = _root;
Node* parent = nullptr;
while (cur != nullptr)
{
if (key < cur->_key)
{
parent = cur;
cur = cur->_leftchild;
}
else if (key > cur->_key)
{
parent = cur;
cur = cur->_rightchild;
}
else//我们这里等于的话,默认不插入,也可以插入,可自行实现
return false;
}
//找到位置了,但不知是左右哪个
if (key < parent->_key)
parent->_leftchild = new Node(key);
else
parent->_rightchild = new Node(key);
return true;
}查找与插入的思想是一样的,我们来看步骤:

可以,查找是较为简单的,直接看代码:
Node* Find(const K& key)
{
Node* cur = _root;
while (cur != nullptr)
{
if (cur->_key < key)
cur = cur->_rightchild;
else if (cur->_key > key)
cur = cur->_leftchild;
else
return cur;
}
return nullptr;
}其实,二叉搜索树的重头戏就是删除,那么下面我们就慢慢分析吧。 首先查找元素是否在二叉搜索树中,如果不存在,则返回false。 如果查找元素存在则分以下四种情况分别处理:(假设要删除的结点为N)

把N结点的父亲对应孩指针指向空,直接删除N结点即可。

把N结点的父亲对应孩子指针指向N的右孩子,直接删除N结点

把N结点的父亲对应孩子指针指向N的左孩子,直接删除N结点
当然,情况1可以当成2或者3处理,效果是⼀样的。
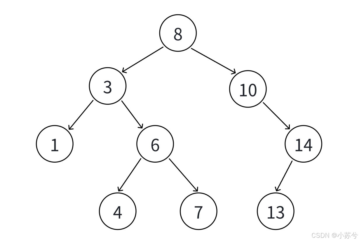
还是以上面为例,假设我要删除3,有两种方法:

可以看出,我们只要使得删除结点之后树的重新为二叉搜索树即可,要使其重新满足二叉搜索树的性质,我们只能在子树中找合适的节点。我们再来看一下删除8的情况:

ok,可见,最后一种删除是最复杂的,那我们对于这种情况再详细展开:

总结: 无法直接删除N结点,因为N的两个孩子无处安放,只能用替换法删除。找N左子树的值最大结点R(最右结点)或者N右子树的值最小结点R(最左结点)替代N,因为这两个结点中任意一个,放到N的位置,都满足二叉搜索树的规则。替代N的意思就是N和R的两个结点的值交换,转而变成删除R结点,R结点符合情况2或情况3,可以直接删除。
有了上面的理解,现在我们就可以完成二叉搜索树的删除代码了:
bool Erase(const K& key)
{
//找key节点和双亲节点
Node* cur = _root;
Node* parent = nullptr;
while (cur != nullptr)
{
if (cur->_key < key)
{
parent = cur;
cur = cur->_rightchild;
}
else if (cur->_key > key)
{
parent = cur;
cur = cur->_leftchild;
}
else
break;
}
if (cur == nullptr)
return false;
//删除(分情况)
if (cur->_leftchild == nullptr && cur->_rightchild == nullptr)//没孩子结点
{
if (cur == _root)
{
_root = nullptr;
}
else if (parent->_leftchild == cur)
parent->_leftchild = nullptr;
else
parent->_rightchild = nullptr;
delete cur;
}
else if (cur->_leftchild == nullptr || cur->_rightchild == nullptr)//有一个孩子结点
{
if (cur->_leftchild == nullptr)
{
if (cur == _root)
{
_root = cur->_rightchild;
}
else if (parent->_leftchild == cur)
{
parent->_leftchild = cur->_rightchild;
}
else
{
parent->_rightchild = cur->_rightchild;
}
}
else
{
if (cur == _root)
{
_root = cur->_leftchild;
}
else if (parent->_leftchild == cur)
{
parent->_leftchild = cur->_leftchild;
}
else
{
parent->_rightchild = cur->_leftchild;
}
}
delete cur;
}
else//有两个孩子结点
{
//用左孩子中最大结点或者右孩子最小的节点来补
//左孩子中最大结点
Node* prev = cur;
Node* curi = cur->_leftchild;
while (curi->_rightchild != nullptr)
{
prev = curi;
curi = curi->_rightchild;
}
cur->_key = curi->_key;
if (curi == prev->_rightchild)
prev->_rightchild = curi->_leftchild;
else
prev->_leftchild = curi->_leftchild;
delete curi;
}
return true;
}接下来,我们主要的代码都有了,现在就把代码较为完整的写在一起,顺便再加上拷贝构造、赋值重载、析构、中序遍历(输出的节点值将按照从小到大的顺序排列,对于二叉搜索树)……
//结点
template<class K>
struct BSTreeNode
{
K _key;
BSTreeNode<K>* _leftchild = nullptr;
BSTreeNode<K>* _rightchild = nullptr;
BSTreeNode(const K& key)
:_key(key)
{
}
};
//主框架
template<class K>
class BSTree
{
typedef BSTreeNode<K> Node;
public:
//已经声明了其他构造函数,导致编译器不再隐式生成默认构造函数,用 = default 使得编译器自动生成默认构造函数。
BSTree() = default;
//拷贝构造
BSTree(BSTree& t)
{
_root = BST_Copy(t._root);
}
Node* BST_Copy(Node* root)
{
if (root == nullptr)
return nullptr;
Node* cur = new Node(root->_key);
cur->_leftchild = BST_Copy(root->_leftchild);
cur->_rightchild = BST_Copy(root->_rightchild);
return cur;
}
//赋值重载
BSTree& operator=(BSTree t)
{
std::swap(_root, t._root);
return *this;
}
//析构
~BSTree()
{
Destroy(_root);
}
void Destroy(Node* root)
{
if (root == nullptr)
return;
Destroy(root->_leftchild);
Destroy(root->_rightchild);
delete root;
}
//插入
bool Insert(const K& key)
{
if (_root == nullptr)
_root = new Node(key);
Node* cur = _root;
Node* parent = nullptr;
while (cur != nullptr)
{
if (key < cur->_key)
{
parent = cur;
cur = cur->_leftchild;
}
else if (key > cur->_key)
{
parent = cur;
cur = cur->_rightchild;
}
else//等于默认不插入
return false;
}
//找到位置了,但不知是左右哪个
if (key < parent->_key)
parent->_leftchild = new Node(key);
else
parent->_rightchild = new Node(key);
return true;
}
//查找
Node* Find(const K& key)
{
Node* cur = _root;
while (cur != nullptr)
{
if (cur->_key < key)
cur = cur->_rightchild;
else if (cur->_key > key)
cur = cur->_leftchild;
else
return cur;
}
return nullptr;
}
//删除
bool Erase(const K& key)
{
//找key节点和双亲节点
Node* cur = _root;
Node* parent = nullptr;
while (cur != nullptr)
{
if (cur->_key < key)
{
parent = cur;
cur = cur->_rightchild;
}
else if (cur->_key > key)
{
parent = cur;
cur = cur->_leftchild;
}
else
break;
}
if (cur == nullptr)
return false;
//删除(分情况)
if (cur->_leftchild == nullptr && cur->_rightchild == nullptr)//没孩子结点
{
if (cur == _root)
{
_root = nullptr;
}
else if (parent->_leftchild == cur)
parent->_leftchild = nullptr;
else
parent->_rightchild = nullptr;
delete cur;
}
else if (cur->_leftchild == nullptr || cur->_rightchild == nullptr)//有一个孩子结点
{
if (cur->_leftchild == nullptr)
{
if (cur == _root)
{
_root = cur->_rightchild;
}
else if (parent->_leftchild == cur)
{
parent->_leftchild = cur->_rightchild;
}
else
{
parent->_rightchild = cur->_rightchild;
}
}
else
{
if (cur == _root)
{
_root = cur->_leftchild;
}
else if (parent->_leftchild == cur)
{
parent->_leftchild = cur->_leftchild;
}
else
{
parent->_rightchild = cur->_leftchild;
}
}
delete cur;
}
else//有两个孩子结点
{
//用左孩子中最大结点或者右孩子最小的节点来补
//左孩子中最大结点
Node* prev = cur;
Node* curi = cur->_leftchild;
while (curi->_rightchild != nullptr)
{
prev = curi;
curi = curi->_rightchild;
}
cur->_key = curi->_key;
if (curi == prev->_rightchild)
prev->_rightchild = curi->_leftchild;
else
prev->_leftchild = curi->_leftchild;
delete curi;
}
return true;
}
//中序遍历
void InOrder()
{
_InOrder(_root);
cout << endl;
}
void _InOrder(Node* root)
{
if (root == nullptr)
return;
_InOrder(root->_leftchild);
cout << root->_key << " ";
_InOrder(root->_rightchild);
}
private:
Node* _root = nullptr;
};为了更好的学习STL中的map和set,我们这里再对二叉搜索树key和key/value再来详细说明一下。
只有 key 作为关键码,结构中只需要存储 key 即可,关键码即为需要搜索到的值,搜索场景只需要判断 key 在不在。 key 的搜索场景实现的二叉树搜索树支持增删查,但是不支持修改,修改 key 破坏搜索树结构了。
场景 1: 小区无人值守车库,小区车库买了车位的业主车才能进入小区,那么物业会把买了车位的业主的车牌号录入后台系统,车辆进入时扫描车牌在不在系统中,在则抬杆,不在则提示非本小区车辆,无法进入。
场景 2: 检查一篇英文文章单词拼写是否正确,将词库中所有单词放入二叉搜索树,读取文章中的单词,查找是否存在于二叉搜索树中,不在则波浪线标红提示。
每一个关键码 key,都有与之对应的值 value,value 可以任意类型对象。树的结构中(结点)除了需要存储 key 还要存储对应的 value。增 / 删 / 查还是以 key 为关键字走二叉搜索树的规则进行比较,可以快速查找到 key 对应的 value。 key/value 的搜索场景实现的二叉树搜索树支持修改,但是不支持修改 key,修改 key 破坏搜索树性质了,可以修改 value。
场景 1: 简单中英互译字典,树的结构中(结点)存储 key(英文)和 value(中文),搜索时输入英文,则同时查找到对应的中文。
场景 2: 商场无人值守车库,入口进场时扫描车牌,记录车牌和入场时间,出口离场时,扫描车牌,查找入场时间,用当前时间 - 入场时间计算出停车时长,计算出停车费用,缴费后抬杆,车辆离场。
场景 3: 统计一篇文章中单词出现的次数,读取一个单词,查找单词是否存在,不存在这个说明第一次出现,(单词,1);单词存在,则 + 单词对应的次数。
它们分别对应STL中的map和set,下篇文章我会对于map和set进行深入讲解。我们前面写的代码是key模型,只存储了key,有兴趣的也可以实现key/value模型的二叉搜索树的代码,其实就是把结构中存储的 key 改为 key/value,然后再刚刚别的就行,参考代码如下:
template<class K,class V>
struct BSTreeNode
{
K _key;
V _val;
BSTreeNode<K,V>* _leftchild = nullptr;
BSTreeNode<K,V>* _rightchild = nullptr;
BSTreeNode(const K& key, const V& val)
:_key(key)
,_val(val)
{
}
};
template<class K,class V>
class BSTree
{
typedef BSTreeNode<K,V> Node;
public:
BSTree() = default;
BSTree(BSTree& t)
{
BST_Copy(t._root);
}
void BST_Copy(Node* root)
{
if (root == nullptr)
return;
Insert(root->_key, root->_val);
BST_Copy(root->_leftchild);
BST_Copy(root->_rightchild);
}
BSTree& operator=(BSTree t)
{
std::swap(_root, t._root);
return *this;
}
~BSTree()
{
Destroy(_root);
}
void Destroy(Node* root)
{
if (root == nullptr)
return;
Destroy(root->_leftchild);
Destroy(root->_rightchild);
delete root;
}
bool Insert(const K& key, const V& val)
{
if (_root == nullptr)
_root = new Node(key,val);
Node* cur = _root;
Node* parent = nullptr;
while (cur != nullptr)
{
if (key < cur->_key)
{
parent = cur;
cur = cur->_leftchild;
}
else if (key > cur->_key)
{
parent = cur;
cur = cur->_rightchild;
}
else//存在
return false;
}
//找到位置了,但不知是左右哪个
if (key < parent->_key)
parent->_leftchild = new Node(key, val);
else
parent->_rightchild = new Node(key, val);
return true;
}
Node* Find(const K& key)
{
Node* cur = _root;
while (cur != nullptr)
{
if (cur->_key < key)
cur = cur->_rightchild;
else if (cur->_key > key)
cur = cur->_leftchild;
else
return cur;
}
return nullptr;
}
bool Erase(const K& key)
{
//找key节点和双亲节点
Node* cur = _root;
Node* parent = nullptr;
while (cur != nullptr)
{
if (cur->_key < key)
{
parent = cur;
cur = cur->_rightchild;
}
else if (cur->_key > key)
{
parent = cur;
cur = cur->_leftchild;
}
else
break;
}
if (cur == nullptr)
return false;
//删除(分情况)
if (cur->_leftchild == nullptr && cur->_rightchild == nullptr)//没孩子结点
{
if (cur == _root)
{
_root = nullptr;
}
else if (parent->_leftchild == cur)
parent->_leftchild = nullptr;
else
parent->_rightchild = nullptr;
delete cur;
}
else if (cur->_leftchild == nullptr || cur->_rightchild == nullptr)//有一个孩子结点
{
if (cur->_leftchild == nullptr)
{
if (cur == _root)
{
_root = cur->_rightchild;
}
else if (parent->_leftchild == cur)
{
parent->_leftchild = cur->_rightchild;
}
else
{
parent->_rightchild = cur->_rightchild;
}
}
else
{
if (cur == _root)
{
_root = cur->_leftchild;
}
else if (parent->_leftchild == cur)
{
parent->_leftchild = cur->_leftchild;
}
else
{
parent->_rightchild = cur->_leftchild;
}
}
delete cur;
}
else//有两个孩子结点
{
//用左孩子中最大结点或者右孩子最小的节点来补
//左孩子中最大结点
Node* prev = cur;
Node* curi = cur->_leftchild;
while (curi->_rightchild != nullptr)
{
prev = curi;
curi = curi->_rightchild;
}
cur->_key = curi->_key;
if (curi == prev->_rightchild)
prev->_rightchild = curi->_leftchild;
else
prev->_leftchild = curi->_leftchild;
delete curi;
}
return true;
}
void InOrder()
{
_InOrder(_root);
cout << endl;
}
void _InOrder(Node* root)
{
if (root == nullptr)
return;
_InOrder(root->_leftchild);
cout << root->_key << ":" << " " << root->_val << ";";
_InOrder(root->_rightchild);
}
private:
Node* _root = nullptr;
};二叉搜索树结构简单、效率高,是学习平衡树和 STL 容器(如 map、set)的基础。掌握它,有助于更好地理解后续的数据结构与算法。