
最近我们被客户要求撰写关于Copulas的研究报告,包括一些图形和统计输出。
两个随机变量之间的相依性问题备受关注,相依性(dependence)是反映两个随机变量之间关联程度的一个概念
它与相关性(correlation)有区别,常用的相关性度量是Pearson相关系数,它只度量了两个随机变量之间的线性关系,其值不仅依赖于它们的Copula函数,而且还依赖它们的边缘分布函数。
直观地说,Copula函数就是两个(或多个)随机变量的联合分布可以表示为它们的边缘分布函数的函数,这个函数就是Copula函数,它与随机变量的边缘分布没有关系,所反映的是两个(多个)随机变量之间的“结构”,这种结构包含了两个随机变量相依性的全部信息。
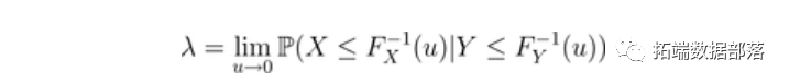
Joe(1990)提出了一个(强)尾部相依性指数。例如,对于下尾,可以考虑

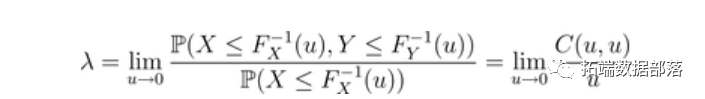
也就是

我们的想法是绘制上面的函数。定义

下尾

对上尾来说,其中是

与

,相依的生存copula ,即

其中

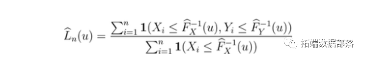
现在,我们可以很容易地推导出这些函数的经验对应关系,即:


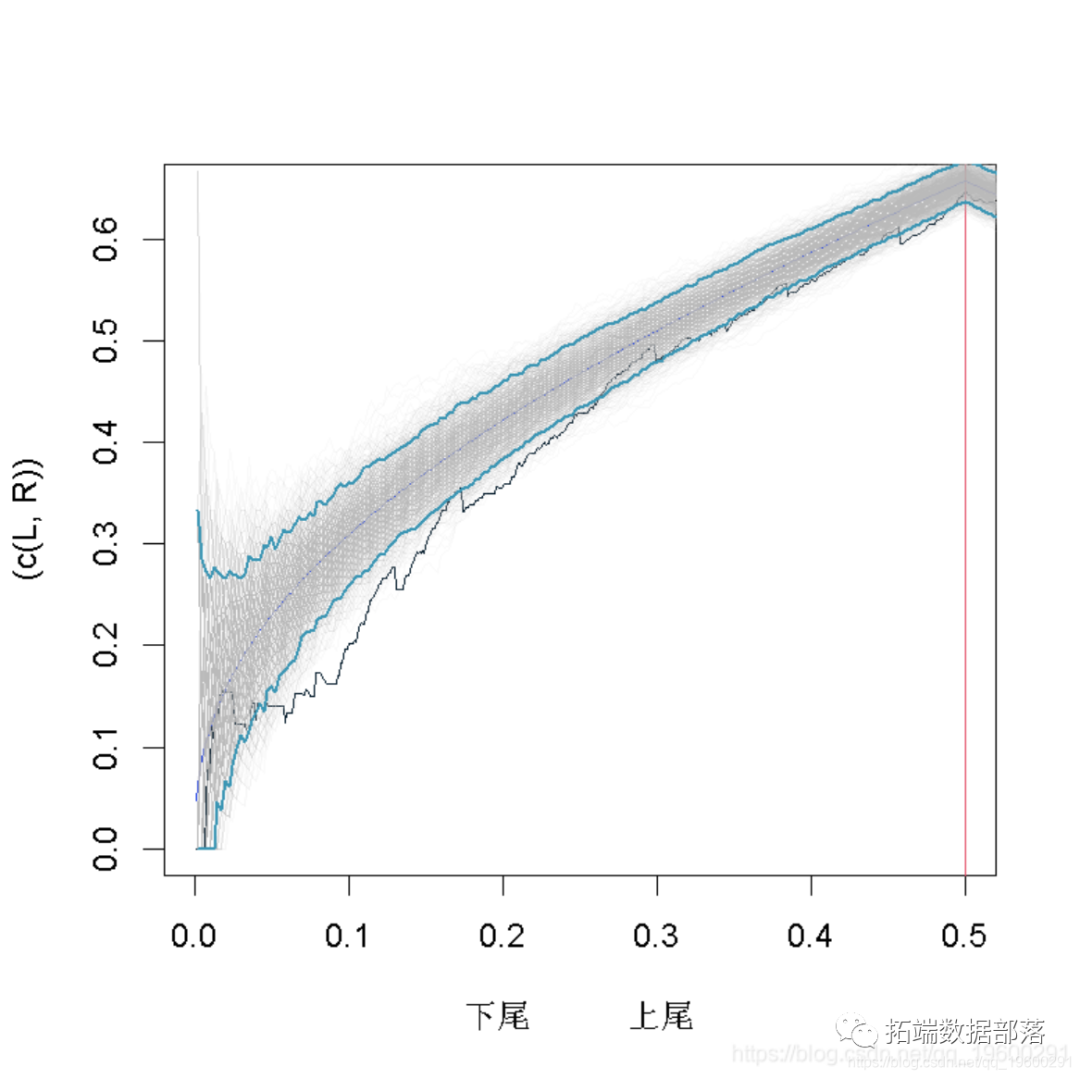
因此,对于上尾,在右边,我们有以下图形

而对于下尾,在左边,我们有

点击标题查阅往期内容

matlab使用Copula仿真优化市场风险数据VaR分析

左右滑动查看更多

01

02

03

04

Copula函数在经济、金融、保险等领域有广泛的应用.早在1998年Frees和Valdez(1998)研究了索赔额与管理费之间的关系,采用了Copula函数对其进行刻画并应用于保费的定价。
对于代码,考虑一些真实的数据,比如损失赔偿数据集。
损失赔偿费用数据有1,500个样本和2个变量。这两栏包含赔偿金付款(损失)和分配的损失调整费用(alae)。后者是与解决索赔相关的额外费用(如索赔调查费用和法律费用)。

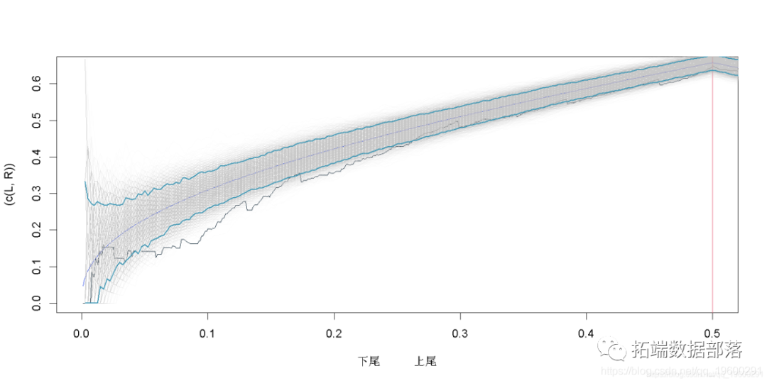
我们的想法是,在左边绘制下尾函数,在右边绘制上尾函数。

现在,我们可以将这个图形,与一些具有相同Kendall's tau参数的copulas图形进行比较
如果我们考虑高斯copulas 。
> copgauss=normalCopula(paramgauss)
> Lga=function(z) pCopula(c(z,z),copgauss)/z
> Rga=function(z) (1-2*z+pCopula(c(z,z),copgauss))/(1-z)
> lines(c(u,u+.5-u[1]),c(Lgs,Rgs)
或Gumbel的copula。
> copgumbel=gumbelCopula(paramgumbel, dim = 2)
> lines(c(u,u+.5-u[1])
但是由于我们没有任何置信区间,所以仍然很难得出结论(即使看起来Gumbel copula比Gaussian copula更适合)。一个策略可以是从这些copula曲线中生成样本,并可视化。对于高斯copula曲线
> nsimul=500
> for(s in 1:nsimul){
+ Xs=rCopula(nrow(X),copgauss)
+ Us=rank(Xs[,1])/(nrow(Xs)+1)
+ Vs=rank(Xs[,2])/(nrow(Xs)+1)
+ lines(c(u,u+.5-u[1]),MGS[s,],col="red")包括–逐点–90%的置信区间
> Q95=function(x) quantile(x,.95)
> lines(c(u,u+.5-u[1]),V05,col="red",lwd=2)高斯copula曲线

Gumbel copula曲线

尽管统计收敛的速度会很慢,评估底层的copula 曲线是否具有尾部相依性简单。尤其是当copula 曲线表现出尾部独立性的时候。比如考虑一个1000大小的高斯copula 样本。这是我们生成随机方案后得到的结果。

或者我们看一下左边的尾巴(用对数比例)

现在,考虑10000个样本。

在这些图上,如果极限是0,或者是某个严格的正值,是相当难以断定的(同样,当感兴趣的值处于参数的支持边界时,这是一个经典的统计问题)。所以,一个简单的想法是考虑一个较弱的尾部相依指数。
===
描述尾部相依性的另一种方法可以在Ledford & Tawn(1996)中找到。假设和具有相同的分布。现在,如果我们假设这些变量是(严格)独立的。

但如果我们假设这些变量是(严格的)同单调性的(即这里的变量是相等的,因为它们有相同的分布),则
所以,有这样一个假设:

那么a=2可以解释为独立性,而a=1则表示强(完美)正相依性。因此,考虑进行如下变换,得到[0,1]中的一个参数,其相依性强度随指数的增加而增加,例如

为了推导出尾部相依指数,假设存在一个极限,即

这将被解释为一个(弱)尾部相依指数。因此定义函数

下尾巴(在左边)

上尾(在右边)。计算这些函数的R代码非常简单。
> L2emp=function(z) 2*log(mean(U<=z))/
> R2emp=function(z) 2*log(mean(U>=1-z))/
+ log(mean((U>=1-z)&(V>=1-z)))-1
> plot(c(u,u+.5-u[1]),c(L,R),type="l",ylim=0:1,
> abline(v=.5,col="grey")同样,也可以将这些经验函数与一些参数函数进行对比,例如,从高斯copula函数中得到的函数(具有相同的Kendall's tau)。
> copgauss=normalCopula(paramgauss)
> Lgs =function(z) 2*log(z)/log(pCopula(c(z,z),
+ copgauss))-1
> Rgas =function(z) 2*log(1-z)/log(1-2*z+
+ pCopula(c(z,z),copgauss))-1
> lines(c(u,u+.5-u[1])
> copgumbel=gumbelCopula(paramgumbel, dim = 2)
> L=function(z) 2*log(z)/log(pCopula(c(z,z),
+ copgumbel))-1
> R=function(z) 2*log(1-z)/log(1-2*z+
+ pCopula(c(z,z),copgumbel))-1
> lines(c(u,u+.5-u[1]),c(Lgl,Rgl),col="blue")
同样,我们观察置信区间,Gumbel copula在这里提供了一个很好的拟合
我们考虑copulas族中的极值copulas。在双变量的情况下,极值可以写为

其中

为Pickands相依函数,它是一个凸函数,满足于

观察到,在这种情况下:

其中

肯德尔系数,可写成

例如

那么,我们就得到了Gumbel copula。现在,我们来看(非参数)推理,更准确地说,是相依函数的估计。最标准的估计器的出发点是观察

是否有copula函数

具有分布函数

而反过来,Pickands相依函数可以写成

因此,Pickands函数的自然估计是

其中,

是经验累积分布函数

这是Capéràa, Fougères & Genest (1997)中提出的估计方法。在这里,我们可以用
> Z=log(U[,1])/log(U[,1]*U[,2])
> h=function(t) mean(Z<=t)
> a=function(t){
function(t) (H(t)-t)/(t*(1-t))
+ return(exp(integrate(f,lower=0,upper=t,
+ subdivisions=10000)$value))
> plot(c(0,u,1),c(1,A(u),1),type="l"整合得到Pickands相依函数的估计值。上图中可以直观地看到上尾的相依指数。

> A(.5)/2
[1] 0.405
点击文末 “阅读原文”
获取全文完整代码数据资料。
本文选自《R语言用Copulas模型的尾部相依性分析损失赔偿费用》。
点击标题查阅往期内容
R语言ARMA GARCH COPULA模型拟合股票收益率时间序列和模拟可视化 ARMA-GARCH-COPULA模型和金融时间序列案例 时间序列分析:ARIMA GARCH模型分析股票价格数据 GJR-GARCH和GARCH波动率预测普尔指数时间序列和Mincer Zarnowitz回归、DM检验、JB检验 【视频】时间序列分析:ARIMA-ARCH / GARCH模型分析股票价格 时间序列GARCH模型分析股市波动率 PYTHON用GARCH、离散随机波动率模型DSV模拟估计股票收益时间序列与蒙特卡洛可视化 极值理论 EVT、POT超阈值、GARCH 模型分析股票指数VaR、条件CVaR:多元化投资组合预测风险测度分析 Garch波动率预测的区制转移交易策略 金融时间序列模型ARIMA 和GARCH 在股票市场预测应用 时间序列分析模型:ARIMA-ARCH / GARCH模型分析股票价格 R语言风险价值:ARIMA,GARCH,Delta-normal法滚动估计VaR(Value at Risk)和回测分析股票数据 R语言GARCH建模常用软件包比较、拟合标准普尔SP 500指数波动率时间序列和预测可视化 Python金融时间序列模型ARIMA 和GARCH 在股票市场预测应用 MATLAB用GARCH模型对股票市场收益率时间序列波动的拟合与预测R语言GARCH-DCC模型和DCC(MVT)建模估计 Python 用ARIMA、GARCH模型预测分析股票市场收益率时间序列 R语言中的时间序列分析模型:ARIMA-ARCH / GARCH模型分析股票价格 R语言ARIMA-GARCH波动率模型预测股票市场苹果公司日收益率时间序列 Python使用GARCH,EGARCH,GJR-GARCH模型和蒙特卡洛模拟进行股价预测 R语言时间序列GARCH模型分析股市波动率 R语言ARMA-EGARCH模型、集成预测算法对SPX实际波动率进行预测 matlab实现MCMC的马尔可夫转换ARMA - GARCH模型估计 Python使用GARCH,EGARCH,GJR-GARCH模型和蒙特卡洛模拟进行股价预测 使用R语言对S&P500股票指数进行ARIMA + GARCH交易策略 R语言用多元ARMA,GARCH ,EWMA, ETS,随机波动率SV模型对金融时间序列数据建模 R语言股票市场指数:ARMA-GARCH模型和对数收益率数据探索性分析 R语言多元Copula GARCH 模型时间序列预测 R语言使用多元AR-GARCH模型衡量市场风险 R语言中的时间序列分析模型:ARIMA-ARCH / GARCH模型分析股票价格 R语言用Garch模型和回归模型对股票价格分析 GARCH(1,1),MA以及历史模拟法的VaR比较 matlab估计arma garch 条件均值和方差模型R语言POT超阈值模型和极值理论EVT分析
原创声明:本文系作者授权腾讯云开发者社区发表,未经许可,不得转载。
如有侵权,请联系 cloudcommunity@tencent.com 删除。
原创声明:本文系作者授权腾讯云开发者社区发表,未经许可,不得转载。
如有侵权,请联系 cloudcommunity@tencent.com 删除。