首页
学习
活动
专区
圈层
工具
发布
社区首页 >专栏 >基于UKF的建图规划方法

基于UKF的建图规划方法

作者头像
用户2423478
发布2025-11-24 08:59:15
发布2025-11-24 08:59:15
70
举报
文章被收录于专栏:具身小站具身小站

REF:基于 RBPF-SLAM 算法的学前儿童机器人路径规划模型研究

1. 基础模型

  • 高斯函数:将激光雷达数据、运动模型相结合,在似然函数的峰值区域采样,获取概率大的区域,扫描里程传感器中的初始值,选择 K个在该区域内的粒子
6f6fb1a31913a66acd9d9a0a206bc070.png
6f6fb1a31913a66acd9d9a0a206bc070.png

其中:

  • η(i):表示归一化因子
  • μ(i):表示均值
  • ∑(i):表示协方差矩阵

  • 时间弹性带约束:TEB算法需要使用多目标加权,对位姿和时间两方面进行调整,约束包括路径约束和速度、加速度约束,公式如下:
047e833c97abf0cd3892717a3af23f16.png
047e833c97abf0cd3892717a3af23f16.png

其中:

  • x_r:表示边界值
  • ε:表示逼近的位移
  • n:表示多项式阶数
  • S:表示缩放比例

2. 模型优化

  • 引入退火参数:分布的计算过程较为复杂,高斯函数存在峰值的采样效率变低,通过退火参数α调节模型的比重,当运动模型的数据占比大于观测模型时,将 α 数值调小
429c891326c99e2634ce42284a1d868d.png
429c891326c99e2634ce42284a1d868d.png
  • UKF的权重排序:通过高斯分布重采样方法根据粒子权值进行排序,保证 RBPF-SLAM 算法中采样粒子的多样性,新粒子的权值和粒子的大小成正比关系,排序后的高权值粒子采样示意图和粒子分布图如图所示:
e568d8a10c32503f0b6800ecc4ec4bdf.png
e568d8a10c32503f0b6800ecc4ec4bdf.png
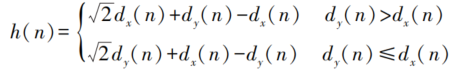
  • A-star启发函数优化:启发函数采用曼哈顿和欧式距离相结合的方式构建,公式如下
6056eb0853d34086b213010f25e54bb6.png
6056eb0853d34086b213010f25e54bb6.png
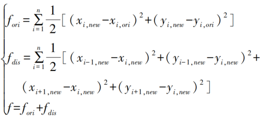
  • A-star路径曲率和目标函数优化:传统A∗算法规划的路径拐点多,采用梯度下降法对路径曲率和规划目标函数进行改进,有助于获取平滑的全局路径,目标函数如式
1b5f0084ca431327c2f3dec98b53b035.png
1b5f0084ca431327c2f3dec98b53b035.png
本文参与 腾讯云自媒体同步曝光计划,分享自微信公众号。
原始发表:2025-11-18,如有侵权请联系 cloudcommunity@tencent.com 删除

本文分享自 具身小站 微信公众号,前往查看

如有侵权,请联系 cloudcommunity@tencent.com 删除。

本文参与 腾讯云自媒体同步曝光计划  ,欢迎热爱写作的你一起参与!

评论
登录后参与评论
0 条评论
热度
最新
推荐阅读
目录
  • 1. 基础模型
  • 2. 模型优化
领券
问题归档专栏文章快讯文章归档关键词归档开发者手册归档开发者手册 Section 归档