
本教程带你零代码进行 WGCNA 分析。无需配置任何环境,上传数据即可一键分析。也可以分步骤完成,做到知其然,并知其所以然。最后,我们可以输出任意基因的共表达网络,用于 Cytoscape 作图。
WGCNA(Weighted Gene Co-expression Network Analysis,加权基因共表达网络分析)是一种基于基因表达数据(如 RNA-seq、微阵列)挖掘基因间共表达模式,并关联到表型特征的有用方法。
WGCNA 数据分析大致遵循下图所示的步骤,本文会涉及此图的大部分内容。我们先从一键完成开始,然后再介绍分步骤进行 WGCNA 分析的方法。

我们首先进入网站:https://usegalaxy.cn,依次点击:流程 > 公共流程 > WGCNA Analysis (release 0.0.1),如图:

点击流程名称:WGCNA Analysis (release 0.0.1),可以预览一下流程所要执行的步骤:

可以看到,该流程主要由 4 个步骤组成:STEP1、STEP2、STEP3、STEP4。
点击“运行流程”按钮,进入这样一个界面:

流程要求输入 2 个文件和 2 个数值:
我们用两个测试文件进行演示。测试文件位置:
左侧激活栏 > 库 > RNA-seq > WGCNA:
我们将两个文件添加到历史记录中,然后设置流程参数,如图:

注意表达量矩阵和样本特征表格的位置不要弄错了。另外我们还设置了两个参数:
因为是测试数据,我们知道这两个参数的合理值。如果你是分析自己的数据,可以先将 CutHeight 设置为:100,R^2 值设置为:0.85。
点“运行流程”,等待结果就可以了。

流程运行完毕,所有结果文件都在右侧的历史中,具体的文件内容我们在这里不展开讨论,后面分步执行 WGCNA 的时候再细说。

在平台“工具”的搜索框中,我们键入:wgcna,下方即会出现 WGCNA STEP 开头的 7 个工具。我们现在来分别执行这几个工具,从而帮助大家理解 WGCNA 的分析过程。

第一步目的是弄清楚有哪些异常样本,从而去除掉,防止影响后续分析。
我们先简单看一下。按下图设置参数,运行:

第一步执行完成后,我们看到右侧多了 4 个文件:



通过 sampleClustering.pdf 图片可以看到,有一个离群样本:F2_221,它在纵坐标 15 的上方,我们可以将 cutHeight 值设为 15,过滤掉该样本。

重新设置 cutHeight 后的 sampleClustering.pdf 图:

这一步是选择软阈值。我们设置 R^2 值为:0.9,即认为 R^2 达到 0.9 的基因才认为它们是相连的。
注意这里使用的表达量矩阵是我们最后过滤好的:历史中第 7 号文件,你可以为它改个容易识别的名字,我这里就不改了。

输出 2 个文件:
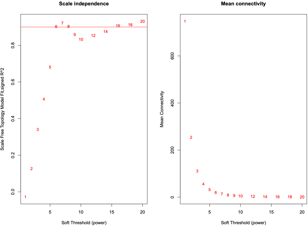
查看软阈值选择图片:

左图,随着软阈值逐渐增大,R^2 也逐渐变大。但当软阈值大于 6 时,R^2 几乎停止增加,甚至还有下降,但逐渐趋于平稳。
右图,随着软阈值的逐渐增大,基因之间的平均连通性逐渐变小。但当软阈值大于 6 时,连通性下降趋于平稳。
结合左右图,我们可以认为软阈值为 6 是比较合适的,这跟 WGCNA 自动判断得到的值一样。
这一步构建基因的加权共表达网络。

这里软阈值可以使用上一步输出的软阈值结果文件,也可以人为指定一个,我们指定为:6。
运行完成后,激动人心的时刻到了。我们得到了基因模块的层次聚类图:Co-expressionNetworkTree.pdf,这是可以放到文章当中的:

另外一个结果文件是:Co-expressionNetwork.RData,共表达网络 R 语言对象,后续要用。
这一步是将基因模块关联到样本的特征。注意这里的基因表达矩阵和样本特征表要选择前面第一步过滤好的,本教程中是历史中的第 7 号、8 号两个文件。另外还要输入上一步构建好的共表达网络。

又得到一个发表级图:Modules2Traits.pdf

这个图展示了基因模块与临床特征的关联:
我们可以基于此图筛选感兴趣的模块。
由于上图是综合了模块与临床特征的相关性,以及基因与临床特征的相关性,因此我们也输出了两个相关性表,供后续使用:
这一步是选择具体某一个模块。比如我们通过模块与特征的热图可以看出:brown 模块与 weight_g 相关性达到了 0.59,我们如果对这一个模块感兴趣,可以单独查看该模块的情况。
参数设置:

结果:
查看散点图:

可以看到,基因与模块的相关性越强,则基因与特征之间的相关性也越强。后续可以筛选图中右上角的基因进一步分析,比如可以筛选基因与模块的相关性大于 0.8,以及基因与特征的相关性大于 0.6 的基因,用于 GO、KEGG、GSEA 等富集分析。
这一步我们再为 WGCNA 增加一些可视化功能。
参数设置:

运行完毕,我们得到 4 个图:




有时候,我们想挑选基因共表达网络中的一部分基因,用于 Cytoscape 作图。
参数设置:

输出文件:
这两个文件可以直接导入 Cytoscape,至此我们实现了挑选任意基因用于 Cytoscape 作图。
通过本文,你应该学会了 WGCNA 分析,啃下了转录组分析的一块硬骨头。如果你对本文有什么疑问,或者建议,欢迎讨论。