Classical and Quantum Dynamics in an Information Theoretic Space
信息论空间中的经典与量子动力学
https://arxiv.org/pdf/2604.09735

我们研究了与伯努利随机变量相对应的信息几何空间中的基础经典与量子动力学,扩展了Goehle与Griffin [Chaos, Solitons & Fractals, 188, 115535, (2024)] 的工作,他们研究了弹簧-质量系统的信息论类比。信息几何构造在统计物理学以及Friston自由能原理(贝叶斯大脑假说的一种形式)的物理解释中均具有用途。在这篇短文中,我们推导了伯努利空间中拉普拉斯-贝尔特拉米算子的谱,并求得了亥姆霍兹方程的格林函数,该函数为波动方程、热方程和泊松方程提供了解。随后,我们展示了如何在伯努利空间中对动量进行量子化,并获得了该空间中自由粒子以及多种量子(谐振)振荡子的能量与波函数。特别地,我们证明了对Goehle与Griffin所采用的库尔贝克-莱布勒势进行二次近似,会得到信息空间中的一个量子振荡子,其等价于欧几里得空间中的一个量子摆。
I. 引言
非线性振荡器已被多位作者在经典和量子领域进行了研究。Matthews 和 Lakshmanan 的早期工作导致了一种具有闭式解并产生自然哈密顿结构的非线性振荡器,该结构后来被 Carineña 推广到了更高维度并易于量子化。同样,Calogero & Graffi 和 Calogero 量子化了具有哈密顿结构和自然闭式解的非线性谐振子,而 Gubbiotti 和 Nucci 研究了 Liénard 型非线性振荡器的量子化,Ghosh 等人量子化了一个等时振荡器。虽然大多数工作集中在无阻尼系统上,但 Dekker & Blacker 和 Tilbrook 考虑了非线性阻尼振荡器的量子化问题。在最一般的情况下,这项工作似乎属于 Delbourgoet al. 和 Nishijima 和 Watanabe 研究的量子场论的非线性类比类。尽管更新的工作也考虑了非哈密顿系统的量子化(见 Chia 等人)。

在这封信中,我们通过考虑一个作为伯努利分布的信息几何费希尔度量的度量张量 g 来应用上述原理。虽然该方法完全可推广,但我们选择伯努利分布是因为它产生了几种类似于经典量子谐振子的简单一维类比。有趣的是,像我们考虑的伯努利空间这样的信息空间,允许(测地线)平方距离和一致的(Bregman)散度,由于它们与这些空间中信息投影的关系,可以用作伪平方距离。Goehle 和 Griffin 研究了伯努利空间中胡克定律的类比,使用公式 (1),其中度量的平方距离被库尔贝克-莱布勒散度替代。
这封信的动机来自以下观察:(i) 信息几何产生的黎曼流形具有自然曲率,高曲率区域对应低方差区域,从而提供了一种研究弯曲空间中量子化的自然方法。(ii) Crooks 展示了热力学和信息几何之间的自然关系,暗示了信息几何流形上动力学的量子化与量子热力学之间可能存在关系。(iii) 最近有工作使用信息几何构造来表达 Friston 自由能原理的各个方面,这是贝叶斯大脑假说的一种表述。我们将这封信中的工作视为在经典神经科学框架下形式化 Penrose 量子意识假说的一种方法(多种方法之一)。在继续之前,值得注意的是,这项工作与量子几何、量子费希尔矩阵、量子统计学以及经典概率、量子力学和纯态流形之间关系的工作有关,但截然不同。这些工作专注于量子力学中发现的独特概率结构的几何基础,而这封信特别感兴趣的是将费希尔流形视为研究经典和量子动力学的空间。
这封信的其余部分组织如下。我们在第二节中提供了关于信息几何构造的必要背景。在第三节中,我们构造了 Laplace-Beltrami 算子,并表明其对应的(非正则)Sturm-Liouville 算子沿着一组正交本征函数系接受(正)整数作为其离散谱。然后我们在第四节中使用该结果以及 Carineña 的方法来构建哈密顿量的自然量子化,并识别自由粒子问题的能级和本征函数解。在该几何中量子谐振子变体的能级和本征函数在第五节中推导。我们在第六节提供结论和未来方向。
II. 背景
设 p(x;η) 为由 η 参数化的概率分布。源于 p(x;η) 的费希尔度量(Fisher metric)由下式给出,




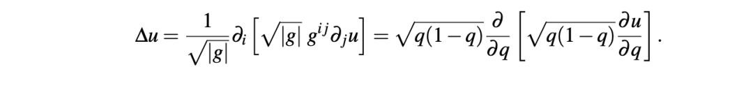
III. 拉普拉斯-贝尔特拉米算子的谱






IV. 量子力学自由粒子
遵循 Goehle 和 Griffin 的方法,我们使用修正的动能拉格朗日量,


最后,我们现在计算伯努利空间中自由粒子的波函数。在这种情况下,薛定谔方程为,

伯努利空间中动量算子的不可观测性提出了一个关于可观测性本质的有趣哲学问题,因为我们利用了该空间与欧几里得空间之间的映射,而在欧几里得空间中动量是可观测的。我们将其留作未来进一步探讨的问题。
V. 量子谐振子
公式(2)中的动能作用量给出了测地线平方距离,

推导其哈密顿量并对其进行量子化是直接的,并且利用前述分析,可以立即清楚地看到,我们将获得针对伯努利空间的标准量子谐振子的一个修正。
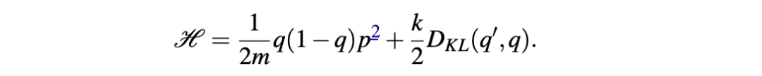
或者,在研究伯努利空间中的非线性弹簧动力学时,Goehle 和 Griffin使用库尔贝克-莱布勒散度作为其平方距离以获得经典哈密顿量,

选择该哈密顿量(及其对应的拉格朗日量)是为了更好地表示受外部信息(以 q′ 的形式)影响的随时间变化的信念。在这种情况下,势能项代表了处理进入推理系统的新信息所需的能量,它像弹簧一样牵引着信念(粒子)。
在继续之前,进行量纲分析是有益的,因为散度以纳特为单位作为平方距离单位 ,而动能作用量的单位是纳特每秒。方程的结构暗示动能(不含质量)的单位是纳特每二次方秒。为了在信息空间中建立清晰且一致的物理学,我们必须定义一个该空间独有的新惯性单位,我们异想天开地称之为“nert”。于是,弹簧常数 k 的单位为 nert 每二次方秒。随后,在该空间中进行的物理学研究可使用纳特、nert 和秒作为单位,它们有效地对应于普通空间中的三个基本单位:(平方)米、千克和秒。这些单位与在贝叶斯大脑假说背景下使用该模型是一致的,其中 nert 是心理惯性的度量,而纳特是通过关联能量与信息的兰道尔原理对学习所需(真实)能量的间接测量。是否存在更深层的热力学解释留待未来研究。
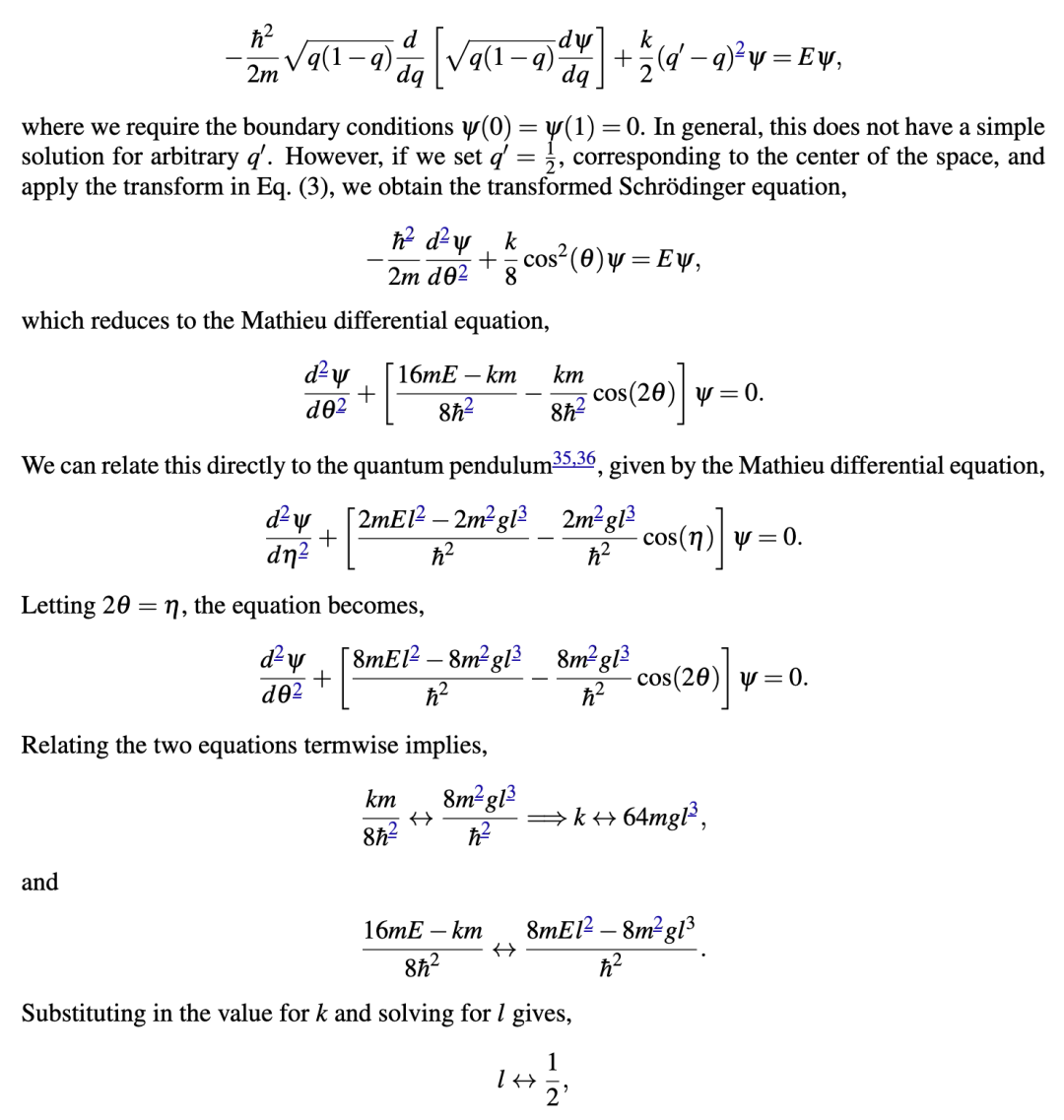
不幸的是,KL 散度的非线性似乎使得对给定哈密顿量的任何闭式分析都变得难以处理。在二阶近似下,我们有,




VI. 结论与未来方向
在本文中,我们研究了由伯努利分布产生的信息论流形上的经典物理和量子物理,扩展了 Goehle 和 Griffin 的工作。由于信息流形不仅允许自然的平方距离测地线,还允许一致的散度,我们表明在这些流形上有多种方法来定义自然的量子谐振子,并且对 Kullback-Leibler 势(伯努利空间中的朴素量子谐振子)进行二阶近似会产生一个等效于欧几里得空间中量子摆的谐振子。这一分析得益于对先前工作中所识别的动量算符进行了量子化。
有几个未来的方向值得考虑。确定这些结果是否能在实验环境中得到应用显然具有意义。将这项工作推广到更一般的信息空间可能会为高度弯曲空间中的量子力学提供额外的见解,因为所有信息流形似乎都表现出与低方差区域相对应的曲率。最后,更深入地研究本工作与更广泛的量子几何工作之间的关系可能会带来进一步的见解。
原文链接:https://arxiv.org/pdf/2604.09735