
本文帮助客户运用关联规则方法分析中医治疗脑出血方剂,用Apriori模型挖掘所选用的主要药物及其用药规律,为临床治疗脑出血提供参考。

a_df3=read.xlsx("脑出血急性期用药最常配伍关联分析2.xlsx")
a_df3=a_df3[,-1]
## set dim names
#
a_df3=t(a_d3)
dimnams(a_df3) <- list(row.ames(a_d
paste("Tr",c(1:ncol(adf3)), sep
uencPlot(dat1, support = 0.3, cex.names=0.8)



apriori(dat
summary(rules)#查看规则
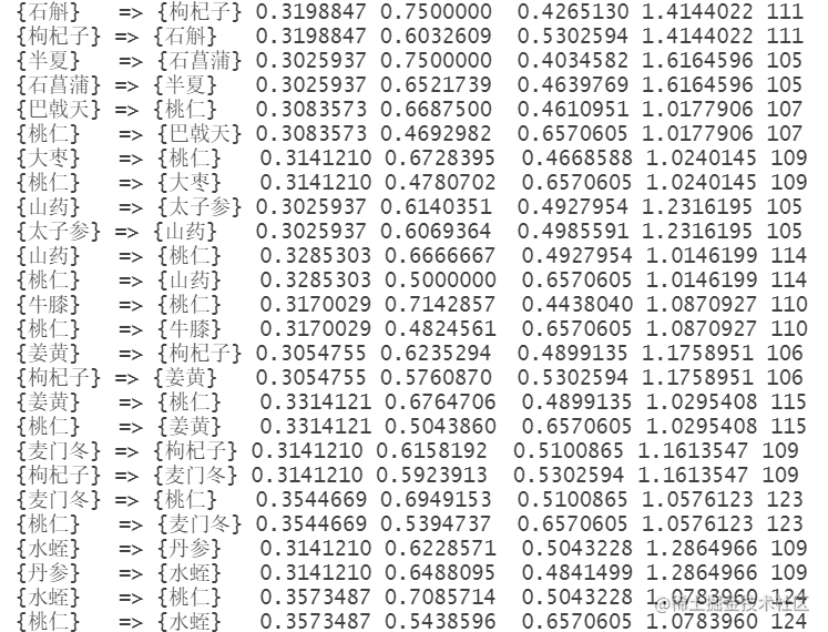
inspect(rules)
quality(head(rules))







从上图可以看到 不同药品之间的关联关系 图中的点越大说明该药品的支持度越高,颜色越深说明该药品的提升度越高。
rules <- sort(rules, by="confidence")

x=subset(rules,subset=confidence>0.3 & support>0.2 & lift>=1) #得到有价值规则子集



最受欢迎的见解
1.Python中的Apriori关联算法-市场购物篮分析
2.R语言绘制生存曲线估计|生存分析|如何R作生存曲线图
3.用关联规则数据挖掘探索药物配伍中的规律
4.通过Python中的Apriori算法进行关联规则挖掘
5.用关联规则数据挖掘探索药物配伍中的规律
6.采用SPSS Modeler的Web复杂网络对所有腧穴进行分析
7.R语言如何在生存分析与COX回归中计算IDI,NRI指标
8.R语言如何找到患者数据中具有差异的指标?(PLS—DA分析)
9.R语言中的生存分析Survival analysis晚期肺癌患者4例
原创声明:本文系作者授权腾讯云开发者社区发表,未经许可,不得转载。
如有侵权,请联系 cloudcommunity@tencent.com 删除。
原创声明:本文系作者授权腾讯云开发者社区发表,未经许可,不得转载。
如有侵权,请联系 cloudcommunity@tencent.com 删除。