首页
学习
活动
专区
圈层
工具
发布
首页
学习
活动
专区
圈层
工具
MCP广场
社区首页 >专栏 >一文速通微分方程-

一文速通微分方程-

作者头像
云深无际
发布2024-08-21 11:34:33
发布2024-08-21 11:34:33
31400
代码可运行
举报
文章被收录于专栏:云深之无迹云深之无迹
运行总次数:0
代码可运行

我什么档次敢写微分方程了,但是没有关系,就写就写。

这东西多牛逼,我也不说了,自己翻书。但是从归类来说微分方程也是积分应用的一种。

首先看教材

出现的位置在第一册书的最后一章,也就是说必须会积分才能学,不是不让学,是不学前面的就学不来。

但是我以前好像学的是这个教材?

我记得第一次学这个东西,老师应该就说了,微分方程的解是方程,但是我不妨碍我左耳进,右耳出。

所以微分方程(英语:Differential equation,DE)是一种数学方程,用来描述某一类函数与其导数之间的关系。但是我更喜欢:将现象模型化之后得到的数学模型是包含微分的方程。

这里是参考书目里面的插图,说明了模型的转换过程

但是解出来以后,如果真实要用,其实是初值问题,要不停的回代

微分方程的解是一个符合方程的函数

而在初等数学的代数方程里,其解是常数值。为什么我要标红呢?我觉得时刻记得我们要一个解的答案才不会在其中忘了自己在干什么,因为数学符号歪歪扭扭,时不时就会恍恍惚惚的。

说实话,这篇文章也不会有什么新鲜事,因为微分方程很难,而且大部分也没有解析解,对于普通人,应试来说,我觉得就是先分辨这个方程是什么类型,以及对应的解法是什么就好。

其实我在对微分方程有些感觉的时候是:

在普林斯顿微积分的这个时候

先接上面的

9.3就是一个小节,没有3.1 不知道是不是bug

事实上解释起来一点也不简单,但是我想说。在这个例子里面,从一个求导转换到了方程,我们设出来一个方程,然后对里面的变量求导后,对里面的变量替换后给了第一个式子:

这应该就是最就简单的微分方程,里面有导数了

当x换做t:

关键看解释:这意味着,y 的变化率和 ky 的相同这太有趣了!一个量变化的速率取决于你拥有的这个量的大小.如果你的量越大,那么它就会增长得越快。

可能你get不到我的点,我的意思是,微分的解释能力很强,它把一个随着变量缓缓变化的东西(导数),融入到了一个方程组里面。

好了,不故作高深了。

上面的方程是一阶微分方程,因为导数最高的次数就是一。

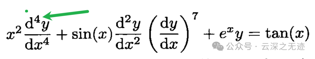
这个的导数最高次数是4,那就是4阶,中间这个7是七次方的地方,而且最高是二阶导。

赶紧引出来:

就是这个样子的解法

上面的方程就可以通过移项,变成这样

积分,ln是因为上面是1/y,这个就是lnx了,不要忘了是整体,1/k是常数

彻底点,可以写成这样

这里补一个一阶齐次微分方程的解法

高数书里面其实是说明白了,可以参考的看

哈哈哈,这是我研究的最明白的一个方程啦。

再来看一种:

它的名字叫一阶线性微分方程

q,p是关于x的方程,其实和上面的方程不太一样,因为不一定是可以分离变量的,无所吊谓了。这个线性有时候你也一眼看不出来,咋办?

就这个,问你是不是

我以前就是这个鬼样子

可能你要先知道什么是阶

我后来就这样做,是不是很明朗!

这个就不是啦,二阶的

这个通解应该是所有书里面都有的,但是很抽象,我稍微写写由来

这个方程都要乘我画的这个东西,叫积分因子。

你放心,微分方程的难点绝对不是你现在看见的这点东西,辨认不出来什么的。

而是你算不出来,上面的左边是要用到隐函数的求导和链式求导的,也相当于一个积分:

这个是隐函数求导

左边第二项是复合函数求导

反正最后可以化解出来这个东西

再积分

结果

方程

再来看通解

不记通解就记这个步骤,偷不了一点懒

然后回答为什么这个积分因子有作用?

什么通解就是这样推出来的

你最好OK

接下来就再看一个:

这样的方程常系数线性微分方程,f是x的导数

重点是这样的方程

下面的解法就是适合后面是0

解法

非齐次的我就不放了,可降阶的也不放了。真的感觉高数书讲的挺好的。

这里贴一些有趣的图:

符号是反映性能的,骚话+1

对于表达是主从关系

为什么要抠这个字眼呢?比如我昨天发的东西:

这个地方的问题

就是数学可能就是这样,要精确

同时又出现了我以前纠结的问题

这本书真不错,推荐

正在看,很快就可以看完了

代码语言:javascript
代码运行次数:0
运行
复制
https://zhuanlan.zhihu.com/p/35230947
代码语言:javascript
代码运行次数:0
运行
复制
https://zhuanlan.zhihu.com/p/71495261
代码语言:javascript
代码运行次数:0
运行
复制
https://www.google.com/search?sca_esv=14770d8a9caa6d0f&sca_upv=1&sxsrf=ACQVn0_J8N5xgHwPRZojHAhWlZn2zdS5oQ:1714713611775&q=%E8%BF%99%E6%98%AF%E5%95%A5%E5%95%A5%E8%A1%A8%E6%83%85%E5%8C%85&uds=AMwkrPuuhztSDa__4CbZuT5KNtb1FRvuKlR-ndbOcUC5aPrln1Pqh3MOqc51Lo7HPSTkNjQYtaCztrV7lx9w8CfzLBXk0yoDKreoX_0vpEeGVOt0VlAGmmWF8umfPaDtzXslYoFTjTNKpWawdz-I2it9TXIkKGvXJTEcqba7ZhXuVTtQcu7rlUMNwz5-a5RSRj9uN7k4Hrln0WrK0IJT2DOr3LytvWILl0g7w4lhuRdqxVitilZbrdWvlIOt-uWCw6MO7fzxYClI&udm=2&prmd=ivsnbmtz&sa=X&ved=2ahUKEwj9nuL93fCFAxVyklYBHc1BAucQtKgLegQIDBAB&biw=1280&bih=649&dpr=3#vhid=LnLOFzyg0xgO3M&vssid=mosaic
代码语言:javascript
代码运行次数:0
运行
复制
https://www.google.com/search?sca_esv=14770d8a9caa6d0f&sca_upv=1&sxsrf=ACQVn0-tZb__SfNv6zgl0CeKa_FUyl1ASg:1714713212083&q=%E8%98%91%E8%8F%87%E5%A4%B4%E8%A1%A8%E6%83%85%E5%8C%85&uds=AMwkrPtH4R_IcK4JzT8HHqNW5j-mQhEuKR2IKY63SEhOi6WX2PvwQprqnPUjJ4JHqnlBqhu4HRrFjSjWLuaBSn1GFq3ayu4z7PfIwYlkHxjIrcdtDaljyZTOeLAKwmrQv75z7BGewDvtK1Eh6Oi14ia_8lJmajwpZH2oa9Cztrg57rAtwtDd8usYBHw2GwrGM79kym_vq-r58CuynW5xvYmLBiMyLOZ0ZTsFWyQwZYprHuHSLEOfmuyzhUSOs67Lih6LNWuL-2eP&udm=2&prmd=isvnbmtz&sa=X&sqi=2&ved=2ahUKEwiO_5a_3PCFAxVgs1YBHX0YA4wQtKgLegQIFhAB&biw=1280&bih=649&dpr=3#vhid=8jrVpcXb2SA6ZM&vssid=mosaic
代码语言:javascript
代码运行次数:0
运行
复制
https://www.matongxue.com/lessons/662/parts/1308
代码语言:javascript
代码运行次数:0
运行
复制
http://archive.keyllo.com/L-%E6%95%B0%E5%AD%A6/%E6%A6%82%E7%8E%87%E8%AE%BA%E4%B8%8E%E6%95%B0%E7%90%86%E7%BB%9F%E8%AE%A1/%E5%9B%BE%E7%81%B5%E6%95%B0%E5%AD%A6%C2%B7%E7%BB%9F%E8%AE%A1%E5%AD%A6%E4%B8%9B%E4%B9%A649-%E6%99%AE%E6%9E%97%E6%96%AF%E9%A1%BF%E5%BE%AE%E7%A7%AF%E5%88%86%E8%AF%BB%E6%9C%AC-%255B%E7%BE%8E%255DA%C2%B7%E7%8F%AD%E7%BA%B3-%E4%BA%BA%E6%B0%91%E9%82%AE%E7%94%B5%E5%87%BA%E7%89%88%E7%A4%BE-2010.pdf
本文参与 腾讯云自媒体同步曝光计划,分享自微信公众号。
原始发表:2024-05-03,如有侵权请联系 cloudcommunity@tencent.com 删除

本文分享自 云深之无迹 微信公众号,前往查看

如有侵权,请联系 cloudcommunity@tencent.com 删除。

本文参与 腾讯云自媒体同步曝光计划  ,欢迎热爱写作的你一起参与!

评论
登录后参与评论
0 条评论
热度
最新
推荐阅读
领券
问题归档专栏文章快讯文章归档关键词归档开发者手册归档开发者手册 Section 归档