导读:在当今数字化时代,推荐系统已成为各大互联网平台的核心竞争力之一。随着大模型技术的兴起,推荐系统的发展也迎来了新的机遇。本文将深入探讨贝叶斯个性化排序(BPR)算法,结合大模型技术,如何优化推荐系统并实现引流
1
BPR算法:推荐系统中的“老朋友”
BPR(Bayesian Personalized Ranking)是一种经典的个性化排序算法,专注于优化用户对物品的偏好排序,而不是单纯预测评分。它通过用户对物品的相对偏好(比如用户u更喜欢物品i而不是物品j)来建模,能够更精准地捕捉用户的个性化需求。其核心优势在于:
2
BPR算法原理
BPR 是一种基于矩阵分解的个性化排序算法,与传统的矩阵分解方法(如 FunkSVD)不同,BPR 的训练数据是一个三元组 <u, i, j>,表示用户 u 对物品 i 的偏好高于物品j。BPR 的目标是最大化用户对物品的偏好排序概率。假设用户集合为 U,物品集合为 I,用户 u 对物品 i 的偏好可以通过以下公式表示:

其中,wu是用户 u 的隐向量,hi是物品 i 的隐向量。通过矩阵分解,将用户-物品评分矩阵分解为用户矩阵 W 和物品矩阵 H,满足:

对于每个用户 u,算法需要优化的目标是最大化用户对物品 i 的偏好高于物品 j 的概率,即:

其中,σ 是 Sigmoid 函数,λ 是正则化参数。
3
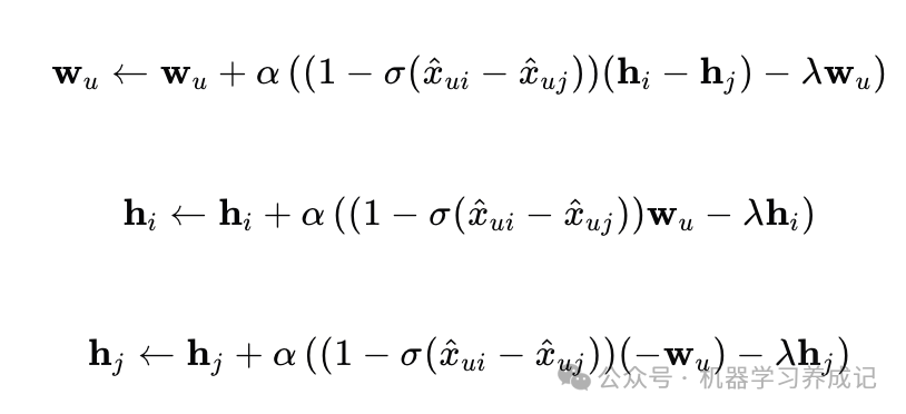
BPR训练过程
BPR 的训练过程是通过随机梯度下降(SGD)优化上述目标函数。具体步骤如下:

4
python代码
import random
from collections import defaultdict
import numpy as np
from sklearn.metrics import roc_auc_score
class BPR:
def __init__(self, user_count, item_count, latent_factors, lr, reg, train_count, train_data_path, test_data_path):
self.user_count = user_count
self.item_count = item_count
self.latent_factors = latent_factors
self.lr = lr
self.reg = reg
self.train_count = train_count
self.train_data_path = train_data_path
self.test_data_path = test_data_path
self.U = np.random.rand(user_count, latent_factors) * 0.01
self.V = np.random.rand(item_count, latent_factors) * 0.01
self.test_data = np.zeros((user_count, item_count))
def load_data(self, path):
user_ratings = defaultdict(set)
with open(path, 'r') as f:
for line in f.readlines():
u, i = line.split()
user_ratings[int(u)].add(int(i))
return user_ratings
def train(self, user_ratings_train):
for epoch in range(self.train_count):
u = random.randint(1, self.user_count)
if u not in user_ratings_train:
continue
i = random.sample(user_ratings_train[u], 1)[0]
j = random.randint(1, self.item_count)
while j in user_ratings_train[u]:
j = random.randint(1, self.item_count)
u, i, j = u - 1, i - 1, j - 1
r_ui = np.dot(self.U[u], self.V[i].T)
r_uj = np.dot(self.U[u], self.V[j].T)
r_uij = r_ui - r_uj
loss_func = -1.0 / (1 + np.exp(r_uij))
self.U[u] += -self.lr * (loss_func * (self.V[i] - self.V[j]) + self.reg * self.U[u])
self.V[i] += -self.lr * (loss_func * self.U[u] + self.reg * self.V[i])
self.V[j] += -self.lr * (loss_func * (-self.U[u]) + self.reg * self.V[j])
if epoch % 1000 == 0:
print(f"Epoch {epoch}: Loss = {-loss_func}")
def predict(self, user, item):
return np.dot(user, item.T)
def main(self):
user_ratings_train = self.load_data(self.train_data_path)
self.load_test_data(self.test_data_path)
self.train(user_ratings_train)
predict_matrix = self.predict(self.U, self.V)
auc_score = roc_auc_score(self.test_data.flatten(), predict_matrix.flatten())
print(f"AUC Score: {auc_score:.4f}")
self.show_recommendations(user_ratings_train)
def show_recommendations(self, user_ratings_train):
print("\nRecommendations for some users:")
for u in range(1, 6): # Show recommendations for the first 5 users
if u not in user_ratings_train:
continue
user_vector = self.U[u - 1]
scores = np.dot(user_vector, self.V.T)
top_items = np.argsort(-scores)[:5] # Get top 5 recommendations
print(f"User {u}: Recommended items {top_items + 1}")
if __name__ == '__main__':
bpr = BPR(user_count=943, item_count=1682, latent_factors=20, lr=0.01, reg=0.01, train_count=10000, train_data_path='train.txt', test_data_path='test.txt')
bpr.main()结果示例如下:

5
BPR与大模型结合的引流策略
大模型的出现为推荐系统带来了新的机遇。通过与大模型结合,BPR可以进一步提升推荐效果,具体体现在以下几个方面:
在大模型的赋能下,BPR不仅可以提升推荐的准确性和多样性,还能通过以下方式实现引流:
BPR算法作为推荐系统中的经典算法,结合大模型技术后,能够进一步提升推荐效果和用户体验。通过优化用户画像、增强文本特征以及开发交互式推荐系统,BPR在大模型时代焕发出新的活力。同时,结合个性化推荐和内容生成策略,BPR算法还可以为平台实现高效的引流。