
Fig.1 Cerebral artery, from Gray's Atlas of Anatomy 3rd Edition
正常大脑存在上游脑区的高阶理智脑和下游脑区的低阶情绪脑,高阶的情绪、记忆和学习在上游脑区。我们提出了一个关于阿尔茨海默症的潜在机制的猜想,阿尔兹海默症病人出现了上游脑区低阶情绪脑和下游脑区高阶理智脑的趋势, 高阶的情绪、记忆和学习在下游脑区,因为大脑反向的湍流信息。
The normal brain has the high-order rational brain in the upstream brain regions and the low-order emotional brain in the downstream brain regions. High-order of memory, learning and emotion in the upstream brain regions. Here we start a hypothesis about the potential mechanism of Alzheimer’s disease. The AD patient has a trend of the low-order emotional brain in the upstream brain regions and the higher-order rational brain in the downstream brain regions. High-order of memory, learning and emotion in the downstream brain regions. And the cause may be the reverse turbulence information in brain.
正常大脑的动脉、淋巴管道和脑区之间的管道,由于重力和沿程损失从下游脑区到上游脑区,下游脑区大中管道粗,而上游脑区支管道细,见图1。
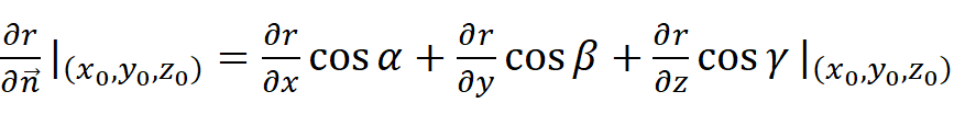
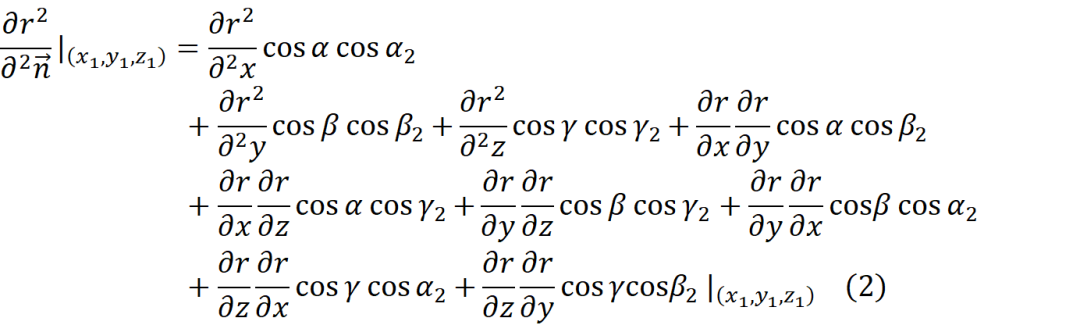
短期记忆变成长期记忆要满足一定临界条件才能发生湍流信息传递,见图2,形成上游脑区皮层的记忆印记,记忆通过前端丘脑向上游脑区皮层辐射。我们尽量建模符合实验,当短期记忆满足湍流临界条件会巩固上游皮层的长期记忆[1]。记忆从海马体向上游皮层逐渐产生和巩固,由于管道半径变小的沿程阻力,越往上游脑区情绪记忆会逐渐减弱。临界条件见式(1),式(2)是高阶的临界条件,在传输信息中学习。高阶的记忆比如相对较好突触有效范围权重的梯度

或相对较差突触有效范围权重的梯度


或相对较好突触有效范围的权重

。
The arteries, lymphatic vessels, and the ducts between the brain regions of the normal brain, due to gravity and loss along the way from downstream brain regions to upstream brain regions, the large and middle ducts in the downstream brain regions are thick, while the branch ducts in the upstream brain regions are thin, as shown in Fig. 1.
Short-term memory becomes long-term memory, and a certain critical condition must be met before turbulent information transmission can occur, as shown in Fig. 2, forming a memory engram in the upstream cerebral cortex, and the memory radiates through the anterior thalamus to the upstream cerebral cortex. We try to give a model as much as possible in accordance with experiments, and when short-term memory satisfies the turbulence critical condition, long-term memory in the upstream brain regions consolidated [1]. Memories are gradually generated and consolidated from the hippocampus to upstream brain regions, due to the resistance along the way with a smaller radius of the pipe, the emotional memory of the brain region will gradually weaken as going upstream. See formula (1) of the critical condition. The formula (2) is high-order of critical condition, learning in the transfer of information. The high-order memory such as gradient of relatively good synaptic effective range weight

or gradient of relatively inferior synaptic effective range weight

, the lower-order memory such as relatively good synaptic effective range weight

or relatively inferior synaptic effective range weight

.

Fig.2 Memory, Learning and Emotion Consolidation





or








turbulence, short-term memory turns to
long-term memory

laminar flow, no long-term memory can be transited
by short-term memory


但是中老年人的心衰或收缩压高血压造成管道损伤一般发生在下游脑区,也和离子通道紊乱、疾病有关,造成下游脑区动脉、淋巴管道、脑区间的管道硬化和堵塞。导致上游脑区管道相对变粗和下游脑区管道相对变细有可能出现湍流反向,因为下游脑区管道半径相对变小,能量沿程损失增加,可能无法加强上游脑区皮层的记忆印记进而出现失忆。
对于图3,下游脑区的大中动脉、大中淋巴管道、脑区管道相对变细。下游脑区局部加强的脉冲电流、部分堵塞硬化的管道和离子通道紊乱、疾病有关,下游脑区还有海马尖波涟漪还会放大这个脉冲电流的作用。不管是信息流动还是脑电波的传播,记忆也由于湍流反向倾向停留在下游脑区。当下游脑区损失太多能量,上游脑区皮层的记忆印记无法用能量加强造成失忆。但是下游脑区加工过的记忆印记更容易被下游脑区局部加强的脉冲电流和局部加快流动的流速损耗,由于下游脑区记忆印记的损耗会给阿尔兹海默症患者造成幻觉,局部加强的脉冲电流由于心脏的情绪放大也可能会给阿尔兹海默症患者造成癫痫。由于随着年龄增大造成湍流信息反向和离子通道紊乱、疾病,造成局部加强的脉冲电流及其放大可能出现更多,也就是较低的频率与年龄呈负相关,而较高的频率与年龄呈正相关[2]。
对于图3,记忆也由于下游脑区管道半径逐渐减小,要满足湍流扩散而越来越高阶。情绪记忆也是容易在下游脑区损失而越来越高阶,上游脑区管道相对变粗而情绪记忆没有损耗能保留能量。对于学习,也是下游脑区越来越高阶。但由于下游脑区局部加快流速的和局部加强的脉冲电流,有时局部加强的脉冲电流可能受到如海马尖波涟漪放大。这样下游脑区的高阶记忆、学习是不稳定的。模拟的情绪记忆见图4,大脑的脉冲电流可能和心脏的情绪波动有关。这也参考了Christian Kerskens团队发现了心跳诱发电位的MRI信号[3]。
蒲慕明团队发现海马体内的神经元可以将长时程抑制(Long-term depression,LTD)可塑性自组织地传播到三个方向,分别是突触前侧向传播(Presynaptic lateral spread)、突触后侧向传播(Postsynaptic lateral spread)、反向传播(Backpropagation)[4]。马达蛋白促进突触成形[5]。由于受到湍流反向的干扰,马达蛋白也会倾向往下游脑区移动。这样使得BP算法的负梯度会出现正梯度的趋势,导致阿尔兹海默症的认知障碍。
以上情况的大脑湍流信息反向来解释阿尔兹海默症,原本的上游脑区的高阶理智脑和下游脑区的低阶情绪脑,会造成上游脑区出现低阶情绪脑和下游脑区出现高阶理智脑的趋势。

Fig.3 Memory, Learning and Emotion Loss
However, duct damage caused by heart failure or systolic hypertension in middle-aged and elderly people generally occurs in the downstream brain regions, and is also related to ion-channel disorders and diseases, resulting in the hardening and blockage in the arteries, lymphatic vessels, and the ducts in the downstream brain regions. As a result, the relative thickening of the upstream brain regions and the relative thinning of the downstream brain regions of ducts may lead to reverse turbulence, because the radius of the downstream brain regions ducts is relatively smaller, and the energy loss along the way is increased, which may not be able to strengthen the memory engram of the upstream brain regions and cause amnesia.
See Fig. 3, the large and middle arteries, large and middle lymphatic ducts, and ducts in the downstream brain regions are relatively thinner. Locally strengthened spiking current, and partially blocked and hardened ducts in the downstream brain regions, is associated with ion-channel disorders and diseases, the hippocampal sharp-wave ripple waveforms are also amplified this effect of spiking current. Whether it is the flow of information or the propagation of brain waves, the memories will tend to stay downstream brain regions due to reverse turbulence. When too much energy is lost in the downstream brain regions, the memory engram in the upstream brain regions cannot be reinforced by energy, causing amnesia. However, the memory engram processed in the downstream brain regions is more likely to be lost by the locally strengthened spiking current and the accelerated flow velocity in the downstream brain regions, because the loss of memory engrams in the downstream brain regions will cause hallucinations to Alzheimer's patients, and the locally strengthened spiking current may also cause epilepsy by Alzheimer's patients due to the emotional amplification of the heart. Due to the information of reverse turbulence, the diseases and disorders of ion-channel by aging, the locally strengthened spiking current and its amplification may appear more, which means the lower frequency is negative correlation with age, while the higher frequency is positive correlation with the increase of age [2].

Fig.4 LEN points of relatively good and inferior memories
For Figure 3, memory is also becoming more high-order due to thegradual decrease in the radius of ducts in downstream brain regions to meet turbulent diffusion. Emotional memory is also easy to be lost in the downstream brain region and becomes more high-order, and ducts in the upstream brain regions is relatively thickened and the emotional memory is less loss and can retain energy. For the learning, it is also the downstream brain region that becoming more high-order. However, due to the locally strengthened spiking current and the accelerated flow velocity in the downstream brain regions, sometimes the locally strengthened spiking current may be amplified by hippocampal sharp-wave ripple waveforms. So that the higher-order memory and learning of the downstream brain regions is unstable. Simulated emotional memory is shown in Fig. 4, and brain spiking current may be associated with mood swings in the heart. It also referred Christian Kerskens’s group found MRI signals that resemble heartbeat evoked potentials [3].
The Poo Mu-Ming's group found that neurons in the hippocampus make Long-Term Depression (LTD) of plasticity and self-organization into three directions, namely Presynaptic lateral spread, Postsynaptic lateral spread, and Backpropagation [3]. The kinesin develops synapses [4]. Due to the disturbance of reverse turbulence, kinesin also tend to move to the downstream brain regions. As a result, the negative gradient of the BP tends to be positive, leading to cognitive impairment in AD.
In the above situation, the reverse turbulence information in brain to explain AD, and the original high-order rational brain in the upstream brain regions and the low-order emotional brain in the downstream brain regions will cause the trend of low-order emotional brain in the upstream brain regions and higher-order rational brain in the downstream brain regions.
Reference
[1] Priya Rajasethupathy, Anteromedial Thalamus Gates the Selection and Stabilization of Long-Term Memories, Cell (2023). DOI: 10.1016/j.cell.2023.02.024
[2] Rempe MP, Ott LR, Picci G, Penhale SH, Christopher-Hayes NJ, Lew BJ, Petro NM, Embury CM, Schantell M, Johnson HJ, Okelberry HJ, Losh KL, Willett MP, Losh RA, Wang YP, Calhoun VD, Stephen JM, Heinrichs-Graham E, Kurz MJ, Wilson TW. Spontaneous cortical dynamics from the first years to the golden years. Proc Natl Acad Sci U S A. 2023 Jan 24;120(4):e2212776120. doi: 10.1073/pnas.2212776120. Epub 2023 Jan 18. PMID: 36652485; PMCID: PMC9942851.
[3] Christian Matthias Kerskens, David López Pérez. Experimental indications of non-classical brain functions. Journal of Physics Communications, 2022, 6(10): 105001. DOI: 10.1088/2399-6528/ac94be.
[4] Rizalar FS, Lucht MT, Petzoldt A, et al. Phosphatidylinositol 3,5-bisphosphate facilitates axonal vesicle transport and presynapse assembly. Science. 2023;382(6667):223-230. doi:10.1126/science.adg1075
[5] Fitzsimonds, R. M., Song, H. J. & Poo, M. M. Propagation of activity-dependent synaptic depression in simple neural networks. Nature 388, 439-448, (1997).
陶俊波,博士在读,研究兴趣是计算神经科学、脑科学和AI融合的计算模型。提出上下游脑区深度学习模型并建立有关意识、记忆、阿尔兹海默症、偏好、强迫症、抑郁症、选择困难症和精神分裂症模型及其猜想,也在验证自己提出的基础深度学习和智能优化算法模型。