首页
学习
活动
专区
圈层
工具
发布
社区首页 >专栏 >仿生机器人的SLAM导航

仿生机器人的SLAM导航

作者头像
索旭东
发布2025-12-17 14:36:11
发布2025-12-17 14:36:11
2480
举报
文章被收录于专栏:具身小站具身小站

REF:多传感器融合的并联腿式六足步行机器人SLAM建图与路径规划研究

1. 并联足式机器人

  • 四足磁吸式爬壁机器人:燕山大学研制,用于船舶表面的攀爬
da807935ff908f28a8e4c6513b908a23.png
da807935ff908f28a8e4c6513b908a23.png
  • 四足并联腿式机器人:采用驱动端水平布置的腿部设计,使得在支撑和摆动阶段减少了脚端和地面之间的冲击
f36ccb980c298d53d5740b4fcd74a687.png
f36ccb980c298d53d5740b4fcd74a687.png
  • 并联步行六足章鱼:上海交通大学高峰团队研制,机器人采用2UPS+UP 的并联机构设计,当腿部完全展开时尺寸 可达 1.5×1.5 米,对称的机身能够向任意方向移动,行进速度最高可达 每分钟 20 米,还可负重 200 公斤
1dfb63567116aa6ec4150d9380d6f8ff.png
1dfb63567116aa6ec4150d9380d6f8ff.png
  • 并联腿式机器人:基于新型机械结构,算法基于贝塞尔曲线改进摆动和支撑阶段的足部轨迹,实现了无冲击的运动
ec68656c2b1f97b0698b0e96cbbd5fbc.png
ec68656c2b1f97b0698b0e96cbbd5fbc.png
  • 并联腿式六足步行机器人:长春工业大学研制,能在复杂地面上自由移动,能成功完成爬楼梯等
59fa5797938dc5b751bb80556ba413be.png
59fa5797938dc5b751bb80556ba413be.png
38e49125dccdd92fc1745b80ee1db764.png
38e49125dccdd92fc1745b80ee1db764.png

2. SLAM建图

仿生步行机器人无法使用传统的轮式里程计,基于扩展卡尔曼滤波算法,采用 IMU 与 GNSS传感器融合的方式实现机器人的定位与建图

ad5ca6135cde476ca1f59150a813b406.png
ad5ca6135cde476ca1f59150a813b406.png
  • ICP 点云配准算法:找到两个点云之间的最佳刚性变换,使它们尽可能地重合,算法将采集到的点云数据与已知的模型或其他点云进行匹配,以实现精确的配准。
02452fad19c065844f12b7610f41ebb2.png
02452fad19c065844f12b7610f41ebb2.png
  1. 设定某个位姿作为算法的初始状态,直接计算每个点到所有点的距离,找到最小距离点
  2. 根据初始点得到对应点,通过距离阈值参数过滤掉不合理的匹配点对。
  3. 计算点云转换,得到最优变换
  4. 算法迭代:直到相邻两次迭代的损失函数差小于系统设定的阈值,或者迭代次数达到最大迭代上限,此时程序将停止
  • ICP点云流程图:
1bc733798b97af1a393e3d29775dfc27.png
1bc733798b97af1a393e3d29775dfc27.png
  • ICP点云配准迭代示例
7f77d2994ce8e5742d6886e24c3afc69.png
7f77d2994ce8e5742d6886e24c3afc69.png
c2a2bc348df900a97bd8f7a45632b0bb.png
c2a2bc348df900a97bd8f7a45632b0bb.png
3fb4c4e8ab0ae9a21906e925da1c945b.png
3fb4c4e8ab0ae9a21906e925da1c945b.png
f325691fdfb74cc02d07843c361b97e4.png
f325691fdfb74cc02d07843c361b97e4.png
  • KDTree数据结构:可以将激光点云数据进行高效的空间划分,将点云的坐标信息以一种层次结构的方式存储,在查找最近邻点时避免对每个点进行全局遍历,通过在特定的子空间中进行搜索,显著减少了搜索最近邻点所需的时间,在点云配准中应用能够提高匹配速度,并在高维空间中实现更快速、更有效的最近邻点搜索
7a47d39b85ffb661f3ad45ec57653c38.png
7a47d39b85ffb661f3ad45ec57653c38.png
  • RANSAC 算法:通过随机选择数据集中的子集来拟合模型,并通过统计学方法来找到最佳模型参数,在处理带有大量噪声和离群点的数据集时表现出极强的鲁棒性,能够迅速估计出一个粗略的模型参数
3d42063ebee0493e307924c6f3714aac.png
3d42063ebee0493e307924c6f3714aac.png
42cd122812bd84bf78f6a4343239b76f.png
42cd122812bd84bf78f6a4343239b76f.png
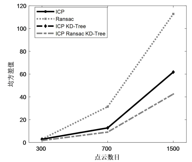
  • 结合ICP和RANSAC 算法:先使用RANSAC 算法快速的粗略估计,有效地剔除异常值,为 ICP 算法提供一个较好的起始点;然后应用 ICP 算法进行精细调整,利用其高精度的特性对配准结果进行优化。
41700457e05e7b8901bac4b04b10f0ee.png
41700457e05e7b8901bac4b04b10f0ee.png
  • 多传感器时间对齐:时间同步可以减小由于传感器间时间差异引起的误差,从而提高 SLAM 系统的整体表现
a90d6c0913b70dc61cc10bfd3b0a9bfe.png
a90d6c0913b70dc61cc10bfd3b0a9bfe.png
  • 融合IMU、GNSS:使用扩展卡尔曼滤波(EKF)融合 IMU 数据和 GNSS 数据,IMU 更新频繁,提供高频状态估计,但会产生累计误差,GNSS 有自我校正功能,提供准确的全局位置信息,从而纠正 IMU 的累积误差,扩展卡尔曼滤波通过预测和更新两步实现对数据融合。
    • 预测阶段:状态预测和协方差预测,对于 IMU 来说,状态包括位置、速度、姿态等,而协方差则表示状态估计的不确定性
    • 更新阶段:通过融合 GNSS 模块的数据,更新系统的状态估计和协方差矩阵
    • 卡尔曼增益 K: 作用是根据预测的状态估计和观测模型的不确定性,调整预测值,使其更加接近实际测量值;增益值取决于状态估计的不确定性和观测噪声的相对大小。如果观测噪声较小或者预测的状态估计不确定性较大,增益会较大,更倾向于相信测量值

3. 路径规划

  • 基于障碍物数量优化Astar启发函数:
9efe706066eb2165a2a9c0218dfff088.png
9efe706066eb2165a2a9c0218dfff088.png

其中:

  • xs 、 ys:表示起始点的 x 和 y 轴坐标
  • xt 、 yt:表示目标点的 x 和 y 轴坐标
  • N:表示起止点构成的矩形区域内障碍物的总数

884a8fb14191a348ff9a42e2f1b2c19f.png
884a8fb14191a348ff9a42e2f1b2c19f.png
  • 全局搜索范围改进:跳过无法通过的节点,减少搜索的耗时和复杂度,提高搜索算法的效率
  • 规划路径平滑改进:采用直线段微分节点,过多的拐点会导致运动的不连续,使得行驶路线出现频繁的停顿和转向,影响行驶的流畅性和速度
dd45190ca3b2c5968ef67848c7547025.png
dd45190ca3b2c5968ef67848c7547025.png
  • 融合局部路径规划DWA算法:DWA算法基于机器人在给定时间段内可以选择的速度范围,将速度和角速度的不同组合称为窗口,评估每个窗口的安全性和效果,从中选择最优的窗口来指导机器人运动
d9d20c1f79da39f4ac474587247a65c1.png
d9d20c1f79da39f4ac474587247a65c1.png
02bdc3c8ae99b6f9577a9a3626562f45.png
02bdc3c8ae99b6f9577a9a3626562f45.png
本文参与 腾讯云自媒体同步曝光计划,分享自微信公众号。
原始发表:2025-12-02,如有侵权请联系 cloudcommunity@tencent.com 删除

本文分享自 具身小站 微信公众号,前往查看

如有侵权,请联系 cloudcommunity@tencent.com 删除。

本文参与 腾讯云自媒体同步曝光计划  ,欢迎热爱写作的你一起参与!

评论
登录后参与评论
0 条评论
热度
最新
推荐阅读
目录
  • 1. 并联足式机器人
  • 2. SLAM建图
  • 3. 路径规划
领券
问题归档专栏文章快讯文章归档关键词归档开发者手册归档开发者手册 Section 归档