首页
学习
活动
专区
圈层
工具
发布
社区首页 >专栏 >数学建模--灰色关联分析法

数学建模--灰色关联分析法

作者头像
用户11315985
发布2024-10-16 10:24:05
发布2024-10-16 10:24:05
1.5K0
举报
文章被收录于专栏:CSDN小华CSDN小华

简介

灰色关联分析法(Grey Relation Analysis,GRA)是一种用于研究数据之间关联性的方法,广泛应用于系统分析、预测和决策等领域。其基本思想是通过比较参考序列(母序列)与特征序列(子序列)的几何形状相似程度来判断它们之间的关联程度。

基本原理

灰色关联分析法的核心在于通过对特征序列与参考序列的几何相似程度进行比较,从而确定两者之间的关联度。具体步骤如下:

  1. 确定分析序列:设定参考序列(母序列)和比较序列(子序列)。母序列通常为已知的主要因素,而子序列则为待分析的因素。
  2. 变量因素的初值化:对原始数据进行无量纲化处理,常用的有均值法、初值法等。例如,采用初值法将原始数据转换为同一量纲。
  3. 计算关联系数:关联系数反映了母序列与子序列在不同时间点上的接近程度。公式如下:

其中,ρ为分辨系数,一般取值范围为[0,1],取值越小分辨力越大,通常取ρ=0.5ρ=0.5 。

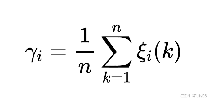
  1. 计算关联度:关联度描述了母序列与子序列整体上的相似程度。公式如下:

其中,n为比较序列的数量。

  1. 关联度排序:根据各因素的关联度进行排序,关联度越大,说明因素的影响程度越大。
应用场景

灰色关联分析法在多个领域都有广泛应用,例如:

  • 系统分析和综合评价:用于评价和分析多个特征组之间的关系,帮助决策者了解各因素对系统的影响。
  • 水质评价:利用灰色关联分析法对水质样本进行评价,将待评价的水质样本归入相应的水质级别中。
  • 企业经营分析:由于企业经营数据偏少,大数据方法不适用,因此可以使用灰色关联分析法挖掘有限数据的价值。

优缺点

优点
  1. 数据要求宽松:灰色关联分析法对样本量的要求较低,即使样本数据较少或质量较差也能进行有效分析。
  2. 计算量小:该方法计算过程简单,适合快速分析和决策。
  3. 结果与定性分析吻合:其结果与定性分析结果一致,不会出现定量分析结果与定性分析结果不符的情况。
缺点
  1. 主观性较强:在判断最优数值时,个人主观性较强,缺乏一定的客观性基础。
  2. 适用范围有限:主要适用于变化趋势一致的两个因素之间的分析,不适合广泛应用。

灰色关联分析法是一种简单、实用且灵活的分析工具,在处理少样本量和复杂系统分析方面具有显著优势。然而,由于其一定的局限性和主观性,需要结合其他方法共同使用以提高分析的准确性和可靠性。

延伸

灰色关联分析法在水质评价中的具体应用案例是什么?

灰色关联分析法在水质评价中的具体应用案例包括以下几个:

  1. 滏阳河水质评价:综合平均污染指数法和灰色关联分析法结合,建立综合权重的灰色关联分析法,并将其应用于滏阳河水质评价。评价结果与《邯郸市环境质量报告书》中给定的结果基本吻合,表明该方法在河流水质评价中是合理可行的。
  2. 徐州市地下水水质评价:根据徐州市地下水水源地2015年实测水质监测数据,采用灰色关联法对徐州市10个地下水样本进行评价。由于地下水质量综合评价具有广泛不确定性,灰色关联法则体现了这种不确定性,因此被广泛应用。
  3. 太子河流域鞍山段水质评价:以千山、太平沟、红土岭、五道河源头为断面,采用灰色关联法对太子河水系各主要断面水环境进行评价。该方法通过比较参考数列和比较数列之间的相似度来判断两者间的关联程度,进而确定水质类别。
  4. 水磨河水质评价:运用灰色关联分析法对水磨河的水环境质量进行评价分析。根据《地表水环境质量标准》(GB3838-2002),将水环境质量标准划分为6级,并采用级别内插的方法提高分辨率,最终使用分段线性变换的方法进行评价。
如何克服灰色关联分析法在主观性强时的数据处理和改进方法?

灰色关联分析法在处理数据时存在主观性强的问题,可以通过以下几种方法进行改进:

  1. 综合权重法:传统的灰色关联分析中,各个因素的权重是相等的,无法反映因素之间的重要性差异。通过引入综合权重法,可以对各个因素赋予不同的权重,从而更好地反映其重要性。
  2. 线性变换和重新定义关联系数:为了提高分析的可靠性,可以采用线性变换的方法,并重新定义关联系数。这种改进的分析方法为建立模型及确定模型参数提供了新的思路。
  3. 基于面积的新型灰色关联分析模型:针对灰色相似关联度与接近关联度存在失准的缺陷,可以提出基于面积的新型灰色关联分析模型。对于具有相同量纲的不同序列数据,首先利用分段二次Lagrange插值法进行处理。
  4. 结合CRITIC算法:将CRITIC算法与灰色关联分析方法相结合,采用CRITIC法确定指标权重,不仅克服了传统灰色关联分析中多采用主观赋权法的不确定性,而且与常用客观赋权法相结合,提高了评价精度。
  5. 相对变化面积的改进灰色关联度模型:针对灰色绝对关联度模型和灰色相似关联度模型存在的问题,可以提出一种基于相对变化面积的改进灰色关联度模型。以序列几何形状的相似程度为基础,构建反应折线相似度的模型。
灰色关联分析法与其他系统分析方法(如AHP)相比有哪些优势和劣势?

灰色关联分析法(Grey Relational Analysis, GRA)与其他系统分析方法(如层次分析法AHP)相比,具有以下优势和劣势:

优势:
  1. 对样本量要求低:灰色关联分析法不需要大量的样本数据,也不需要样本数据有典型的分布规律。这使得它在信息不完全或数据量较小的情况下仍然能够有效应用。
  2. 计算简单:灰色关联分析法的计算过程相对简单,计算量较小,便于操作和实施。
  3. 结果与定性分析吻合:其结果与定性分析结果一致,不会出现定量分析结果与定性分析结果不符的情况。
  4. 适应性强:适用于部分信息已知而部分信息未知的系统,能够在信息大量缺乏或紊乱的情况下进行分析和解决。
劣势:
  1. 主观性较强:虽然灰色关联分析法在某些方面表现出色,但其结果的准确性在一定程度上依赖于专家的主观判断和经验。
  2. 适用范围有限:尽管灰色关联分析法在处理小样本和信息不完全的情况下有优势,但在面对复杂系统和大量因素时,其效果可能不如其他更高级的分析方法。
  3. 缺乏一致性检验:与AHP相比,灰色关联分析法没有内置的一致性检验机制,这可能导致结果的可靠性和一致性较差。
比较:
  • AHP的优势:AHP是一种结合了定性和定量分析的方法,能够通过一致性检验来确保结果的一致性和可靠性。它适用于多层次、多因素的风险评价,并且在土木工程等领域得到了广泛应用。
  • AHP的劣势:AHP的两两比较过程较为繁琐,特别是当风险因素较多时,需要进行大量的比较,导致效率低下,并且容易引起专家的厌烦心理。此外,当风险因素数超过5时,两两比较构造的判断矩阵难以满足一致性的要求。
在企业经营分析中,灰色关联分析法的步骤和参数设置对结果的影响如何?

在企业经营分析中,灰色关联分析法是一种重要的数据分析方法,其步骤和参数设置对结果的影响显著。以下是详细的解释:

步骤
  1. 确定分析指标体系:首先需要根据分析目的选择合适的分析指标,并收集相关数据形成数据矩阵。
  2. 确定参考数据列:选择一个理想的比较标准作为参考数据列,这个参考数据列可以是各指标的最优值或最劣值。
  3. 无量纲化处理:对原始数据进行无量纲化处理,以消除不同量纲带来的影响。
  4. 计算关联系数:通过计算各变量与参考序列之间的差异,并将这些差异取绝对值后进行比较,从而得到关联系数。
  5. 分析结果:根据计算出的关联系数,评估各变量之间的影响程度和关联强度。
参数设置
  1. 关联度计算方法:可以选择不同的关联度计算方法,如欧几里得距离、马氏距离等。不同的计算方法可能会影响最终的关联度结果。
  2. 权重设置:可以通过专家评分法或其他方法确定各指标的权重,这将直接影响到各指标在整体分析中的贡献度。
  3. 分辨系数:分辨系数用于调整关联系数的大小,通常取值在0到0.2之间。分辨系数越大,对差异的敏感性越高。
  4. 权重阈值:设置权重阈值以确保某些指标在分析中的重要性不会被忽视。
影响
  1. 数据选择和处理:选择合适的参考数据列和分析指标对结果有直接影响。如果参考数据列选取不当,可能导致分析结果偏离实际。
  2. 参数设置:不同的参数设置会导致不同的分析结果。例如,不同的关联度计算方法和权重设置会显著影响各变量的关联程度和重要性。
  3. 无量纲化处理:无量纲化处理是确保各变量在同一尺度上进行比较的重要步骤。如果处理不当,可能会导致分析结果失真。

在企业经营分析中,灰色关联分析法的步骤和参数设置对结果具有重要影响。

灰色关联分析法在未来发展趋势中的潜在应用领域有哪些?

灰色关联分析法在未来发展趋势中的潜在应用领域非常广泛,主要包括以下几个方面:

  1. 商业分析:灰色关联分析已经应用于商业分析领域,未来将继续拓展其在商业决策和市场预测中的应用。
  2. 金融分析:在金融领域,灰色关联分析可以用于风险评估、投资决策和市场趋势分析等。
  3. 医疗分析:在医疗领域,灰色关联分析可以用于疾病预测、药物效果评估和医疗资源优化等。
  4. 数据挖掘和知识发现:随着数据科学和人工智能技术的发展,灰色关联分析将与机器学习等高级技术结合,提高分析的准确性和效率,拓宽其在数据挖掘和知识发现领域的应用前景。
  5. 环境科学:在环境科学领域,灰色关联分析可以用于污染物监测、环境影响评估和环境保护策略制定等。
  6. 工程领域:灰色关联分析在工程领域也有广泛应用,如材料性能评估、设备故障诊断和项目管理等。
  7. 地质勘探:在地质勘探领域,灰色关联分析可以用于筛选页岩含气量主控因素,帮助地质学家更好地进行资源勘探和开发。
  8. 社会科学:在社会科学领域,灰色关联分析可以用于社会现象研究、政策效果评估和公共管理等。
本文参与 腾讯云自媒体同步曝光计划,分享自作者个人站点/博客。
原始发表:2024-07-31,如有侵权请联系 cloudcommunity@tencent.com 删除

本文分享自 作者个人站点/博客 前往查看

如有侵权,请联系 cloudcommunity@tencent.com 删除。

本文参与 腾讯云自媒体同步曝光计划  ,欢迎热爱写作的你一起参与!

评论
登录后参与评论
0 条评论
热度
最新
推荐阅读
目录
  • 简介
    • 基本原理
    • 应用场景
  • 优缺点
    • 优点:
    • 缺点:
  • 延伸
    • 灰色关联分析法在水质评价中的具体应用案例是什么?
    • 如何克服灰色关联分析法在主观性强时的数据处理和改进方法?
    • 灰色关联分析法与其他系统分析方法(如AHP)相比有哪些优势和劣势?
      • 优势:
      • 劣势:
    • 比较:
    • 在企业经营分析中,灰色关联分析法的步骤和参数设置对结果的影响如何?
      • 步骤
      • 参数设置
      • 影响
    • 灰色关联分析法在未来发展趋势中的潜在应用领域有哪些?
领券
问题归档专栏文章快讯文章归档关键词归档开发者手册归档开发者手册 Section 归档