首页
学习
活动
专区
圈层
工具
发布
社区首页 >专栏 >基于ROS2的语义格栅地图导航

基于ROS2的语义格栅地图导航

作者头像
用户2423478
发布2025-11-24 08:51:45
发布2025-11-24 08:51:45
30
举报
文章被收录于专栏:具身小站具身小站

REF:基于多传感器融合的全自主移动机器人系统设计与实现

1. 系统架构

  • 机器人系统架构
4c8ec637239f37072da7246ca2b53cd2.png
4c8ec637239f37072da7246ca2b53cd2.png
  • 硬件架构
649bb73808c490b3fec25f76f0a11e71.png
649bb73808c490b3fec25f76f0a11e71.png
  • 软件架构
e51b9a0ed9780460822124195fac3764.png
e51b9a0ed9780460822124195fac3764.png
  • 导航架构
8785e3adc06cc001311a735f6a7106a1.png
8785e3adc06cc001311a735f6a7106a1.png
  • 四轮差速运动模型:机器人相对于世界坐标系的位移与旋转关系可以通 过两个矩阵来表示,这两个矩阵分别为位移矩阵T和旋转矩阵R
8acf0df6240c4968fec7b979f4544a10.png
8acf0df6240c4968fec7b979f4544a10.png

2. 构建语义栅格地图

f5ea651116479dd8b9400d9f6c56d20a.png
f5ea651116479dd8b9400d9f6c56d20a.png
  • 轮式里程计: 也称为编码器里程计,根据编码器产生的脉冲数计算电动机或轮子的旋转圈数,根据轮子周长计算速度,最后根据运动速度积分计算里程变化。对于低速平稳运动,可以实时提供位姿变化,但轮胎打滑、磨损等会导致估算误差,尤其是在转向或急转弯时,误差可能会迅速累积
  • 雷达里程计: RF2O方法,根据传感器的速度为每个激光扫描点设定范围约束方程,通过最小化线性独立几何约束的鲁棒函数来获得雷达的运动估计,激光雷达固定在机器人上,计算得到的速度值可以被视为机器人本体的线速度和角速度
f32b16861e10602dc3e0c3bf785696d4.png
f32b16861e10602dc3e0c3bf785696d4.png
  • 融合雷达里程计、轮式里程计和 IMU: 通过扩展卡尔曼滤波在某一点对非线性系统进行泰勒展开,从而将其近似为线性模型,利用迭代过程不断优化,实现对系统状态的最佳估计
    • 构建统预测模型,初始化传感器状态矩阵与误差协方差矩阵
    • 根据协方差预测和测量模型的不确定性,计算卡尔曼增益
    • 将预测的状态和里程计测量进行融合,得到更新后的最佳估计和协方差矩阵
    • 重复预测和更新,持续优化状态估计,最后得出融合后的里程计
  • Cartographer地图构建算法 :通常由前端与后端两部分:前端负责初步建立图结构,将机器人在各个时刻的位姿信息作为图中的顶点,将这些位姿之间的相对约束关系构建为图的边,形成一个初始的位姿图;后端则负责图的优化,通过调整顶点的位置,使得整个图中的边约束得到最大程度的满足,从而减少位姿估计的误差,提升地图的全局一致性
    1. 机器人位姿估计:激光雷达点云数据、里程计位姿、IMU 数据和固定坐标系位姿,这些数据经过体素滤波(固定大小)和自适应体素滤波器进行降噪和优化,IMU 用于重力校准,并与里程计数据一起进入位姿推测模块,估算机器人位姿
    2. 局部 SLAM :利用 Ceres 进行扫描匹配(Scan Matching),结合估算的位姿进行校正得到更准确的位姿观测,经过运动滤波器判断,如果是静止的点云数据,则会被丢弃,否则将用于更新子图
    3. 全局 SLAM :通过回环检测减少误差,当一个子图构建完成后,系统计算约束关系(包括节点之间的约束和回环约束),进行稀疏位姿调整,并优化所有历史位姿,生成更精准的 SLAM 地图
    aa6d234a6ff73473f4aacff17be8775d.png
    aa6d234a6ff73473f4aacff17be8775d.png
  • Cartographer运用分支定界方法: 顶层A表示整个环境地图,B 为低分辨率子图,C 为高分辨率子图,以 A 层的右下子图为例说明:
    1. 激光数据帧先于 B 层低分辨率子图进行匹配,计算出 B 层的激光匹配得分
    2. B 层匹配得分较高的子图,在 C 层的高分辨率子图中进一步进行匹配计算,得到 C 层的匹配得分
    3. 将 C 层子图中的最高匹配得分与 B 层的匹配得分进行比较,当 C 层子图的最高匹配得分仍然小于 B 层的匹配得分上界时,则剪枝该子图对应的 C 层搜索过程,不再进行更精细的匹配计算
    52f70e41b0088bd823a382dfbfce3ccd.png
    52f70e41b0088bd823a382dfbfce3ccd.png
  • 基于 YOLOv5 获取语义 :先统一输入图像的尺寸,对图像进行大小为 S×S 的单元区域划分,被检测物体的中心点位于网格时,通过网络的特征提取,即可确定物体的位置与其类别信息,特征由单元格的特征提取模块进行预测。
abffd9a0bdca4ce970f4a8c1f7242792.png
abffd9a0bdca4ce970f4a8c1f7242792.png
  • 选取关键帧 :根据里程计提供的运动数据,计算出算出机器人两帧旋转角度和相对平移量,如果大于特定阈值,表明当前帧与上一帧关键帧之间的空间位姿差异显著,机器人相对于其上一个观察点已发生较明显的位移与视角变化。
  • 计算语义物体的位置 :使用 YOLOv5 算法对 RGB 图像检测,获取到物体的类别和目标物体,在 RGB 图像中的像素坐标,通过计算位置节点对相同时间戳的深度图像处理,在深度图像中使用相应坐标获得的物体深度距离,可得到物体在相机坐标系上的位置,再通过坐标转换,可以获得到物体在地图坐标系上的位置坐标
    1. 计算图像中心位置:在 RGB 图像的像素坐标获取目标物体检测框,取目标物体检测框的中心位置作为一般物体的几何中心,针对特定物体采用规定几何中心坐标
    2. 计算深度相机距离:采用均值滤波避免噪声,在对应的深度图中收集坐标对应周围 9 个点的深度值的均值
    3. 计算深度值:当前坐标位于深度图像坐标系中,需要将其转换到相机坐标系下,先标定深度相机,得到相机焦距,计算出深度值
    4. 计算地图坐标系距离:得到物体在相机坐标系下的坐标后,借助机器人坐标系作为中间桥梁,转换坐标系到地图坐标系
    5. 投影到二维格栅地图:将地图坐标系下的物体三维坐标投影到二维栅格平面,并将其转换为离散的栅格坐标,忽略三维坐标中的高度信息,仅保留 x 和 坐标,就得到目标物体在栅格地图坐标系下的坐标
  • 语义标注栅格地图: 采用基于栅格地图的语义标注方法,将语义信息与特定的栅格单元关联(栅格地图中的某些栅格单元被选作关键点,并与对应物体的语义信息相绑定),以构建语义栅格地图
a543c9eebe718dba63383f03d4e18f04.png
a543c9eebe718dba63383f03d4e18f04.png

3. 路径规划

  • 搜索方向优化Astar:默认探索的子节点过多导致计算大量的无关节点,路径规划效率降低
fab33250815f52931cb608d60cd68e81.png
fab33250815f52931cb608d60cd68e81.png
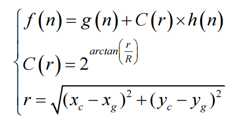
  • 动态调整代价函数:基于跟目标点距离变化,以当前点和终点的距离为基准,在起点一侧的节点,权重值较大,加快搜索节点效率;在靠近终点的节点,会逐渐降低的权重,增加探索节点,以能够找到最优路线。
f7d11dbc3ca70172064fd9358d8f23bd.png
f7d11dbc3ca70172064fd9358d8f23bd.png
  • 过滤障碍物附近对角线路径:当节点四周有障碍物时,舍弃与障碍物相邻的子节点
c98f4603aff559219733b2689f4e1e2f.png
c98f4603aff559219733b2689f4e1e2f.png
2e05c514a94cc24e29755c4cbd77e9d9.png
2e05c514a94cc24e29755c4cbd77e9d9.png
本文参与 腾讯云自媒体同步曝光计划,分享自微信公众号。
原始发表:2025-11-03,如有侵权请联系 cloudcommunity@tencent.com 删除

本文分享自 具身小站 微信公众号,前往查看

如有侵权,请联系 cloudcommunity@tencent.com 删除。

本文参与 腾讯云自媒体同步曝光计划  ,欢迎热爱写作的你一起参与!

评论
登录后参与评论
0 条评论
热度
最新
推荐阅读
目录
  • 1. 系统架构
  • 2. 构建语义栅格地图
  • 3. 路径规划
领券
问题归档专栏文章快讯文章归档关键词归档开发者手册归档开发者手册 Section 归档